Background: this came from a casual discussion about the compound interest problem.
Consider the function $f(a,b),a\in\Bbb N, b\in\Bbb R\setminus\{0\}$ where
$f(0,b)=1+\frac{1}{b}$,
for $a\neq 0$, $f(a,b)=f(a-1,b)^{f(a-1,b)}$
Question: What is $\lim_{n\to \infty}f(n,n)$? What is the speed of convergence w.r.t. $n$, i.e. $O(|f(n,n)-\lim_{m\to \infty}f(m,m)|)$?
My attempt:
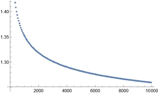
The Mathematica code below should calculate the desired function correctly:
Seq = {};
For[n = 10, n <= 10000, n = n + 50,
temp = 1 + 1/n;
For[i = 1, i <= n, i++,
temp = Power[N[temp, 20], N[temp, 20]];
];
AppendTo[Seq, {n, temp}];
];
ListPlot[Seq]
which gives $f(n,n)$ w.r.t. $n$: 
And hence I highly suspect that it converges. Taking $g(a,b)=\ln f(a,b)$ just gives $g(a,b)=g(a-1,b)\exp g(a-1,b)$ which does not quite simplify the structure.