It is easy to prove that
$$\frac{1}{n+1}<\frac{1}{2n+1}+\frac{1}{2n+2}<\frac1{n},\quad \forall n=1,2,3,\cdots.$$
Inspired by this inequality, I want to know the following inequalities:
$$\sin\frac{1}{n+1}<\sin\frac{1}{2n+1}+\sin\frac{1}{2n+2}<\sin\frac1{n},\quad \forall n=1,2,3,\cdots.$$
What I have done now is:
$$\sin\frac{1}{2n+1}+\sin\frac{1}{2n+2}-\sin\frac{1}{n+1}
=\sin\frac{1}{2n+1}+\sin\frac{1}{2n+2}-2\sin\frac{1}{2n+2}\cos\frac1{2n+2}$$
$$=\sin\frac{1}{2n+1}-\sin\frac{1}{2n+2}\left(2\cos\frac1{2n+2}-1\right)
>\sin\frac{1}{2n+1}-\sin\frac{1}{2n+2}>0.$$
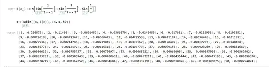
i.e. the LHS is ture. But the same proof technique doesn't apply to the RHS. But the Wolfram mathemtica gives that it seems right for $1\leq n\leq50$,

Any help and hints will welcome!