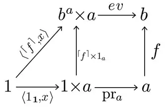
On page 78 of R. Goldblatt's "Topoi: The Categorial Analysis of Logic", the author introduces the notion of an element of a category thusly: if a category $\mathcal C$ has a terminal object $\mathbf 1$, then an element of a $\mathcal C$-object $a$ is a $\mathcal C$-arrow $x:\mathbf 1\to a$. Then he goes on to define the name of a $\mathcal C$-arrow $f:a\to b$, assuming $\mathcal C$ has exponentials. Denoting by $pr_a:{\mathbf 1}\times a\to a$ the product projection, the name of $f$ is the arrow ${}^{\lceil}f^{\rceil}:{\mathbf 1}\to b^a$ that is the exponential adjoint of $f\circ pr_a$. Then ${}^{\lceil}f^{\rceil}$ is the unique arrow such that $ev\circ {}^{\lceil}f^{\rceil}\times 1_a = f\circ pr_a$. He then concludes claiming that for any $\mathcal C$-element $x:{\mathbf 1}\to a$ of $a$, $$ev \circ \langle {}^{\lceil}f^{\rceil}, x\rangle = f \circ x,$$ where $\langle {}^{\lceil}f^{\rceil}, x\rangle: {\mathbb 1}\to b^a\times a$ is the product arrow. He then immediately proposes as an exercise to "prove this last statement."
Up until this point I have been able to do this book's exercises without too much hassle, but I've been stuck on this one for 2 days now. The furthest I got is the following diagram:

From this I can conclude that $$pr_a' \circ \langle {}^{\lceil}f^{\rceil}, x\rangle = x \circ 1_1,$$ yielding $$f \circ pr_a' \circ \langle {}^{\lceil}f^{\rceil}, x\rangle = f \circ x.$$ The claim would follow if $ev = f \circ pr_a'$, but I can't find any reason why that upper right triangle of the diagram would commute. I'd appreciate help/suggestions. Thanks.


From that the claim will follow using $pr_a \circ \langle 1_{\mathbb 1}, x \rangle = x$.
Thanks! Whats the "proper" way to close the question? Should I reply to myself with the answer or is there a way to attribute the solution to you?
– purpleflyer Nov 05 '24 at 20:07