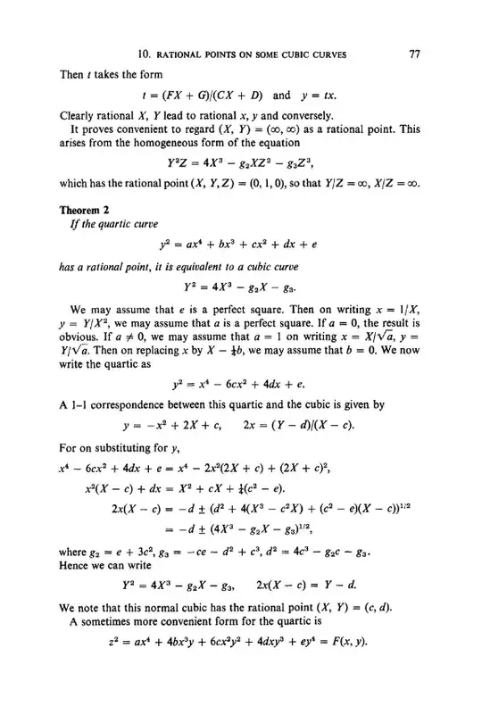
Let's say I wanted to find all the rational solutions to $$-2(x^2 + 4x + 3)(x^2 - 2x - 7) = y^2$$
Clearly this is a genus 1 curve with a rational point, so it is therefore an elliptic curve. I tried attempting this, and I found a page in a book of Mordell.
Mordell outlines a way to convert equations of the form $y^2 = f(x)$ where $deg(f) = 4$ but many of the initial assumption he makes, such as the leading coefficient and the constant term are perfect square, I don't understand.
Can someone help me with converting this to a elliptic curve and with the overall problem of finding rational points on this curve?
Thanks in advance.

EllipticCurveas described here. Here are all the commands I used:R<x,y> := PolynomialRing(Rationals(),2); f := y^2 - (-2*(x^2 + 4*x + 3)*(x^2 - 2*x - 7)); C := Curve(Spec(R),f); Cbar := ProjectiveClosure(C); E := EllipticCurve(Cbar);. – Viktor Vaughn Sep 29 '24 at 02:16