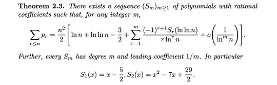
It is known that the asymptotic behavior of the $n$th prime number is given by $$p_n\approx n\log n$$ and $$p_1+p_2+\ldots +p_n\approx {1\over 2}n^2\log n$$ These results are advanced. They imply $$ {p_1+p_2+\ldots +p_n\over p_{n+1}}\to \infty \quad (1)$$ Is there a more elementary proof of $\bf (1)$ ?
For example the condition ${p_n\over n^2}\to 0$ would be sufficient as $p_1+\ldots +p_n\ge \sum_{k=1}^nk\approx {n^2\over 2}.$
The property $(1)$ has been applied in this answer.
I was trying to use the Euler theorem $$\sum_{n=1}^\infty {1\over p_n}=\infty\quad (2)$$ in vain. The proof of property $(2)$ is not extremely hard. It makes use of basic facts concerning the infinite products.
