2

I am curious whether it's possible to prove $ \operatorname{rot}(\operatorname{rot} A) $ using differential forms, similar to the example shown below. I believe the Hodge star operator might play a role in this, but I would appreciate an explanation if anyone is familiar with this approach.

Example of a proof using differential forms:

$$ \mathrm{div}(fa) = (\nabla f) \cdot a + f (\nabla \cdot a) $$

Let $ \lambda_v $ be a 3-form and $ \omega_v $ a 2-form, both with components corresponding to the vector $ v $.

$$ \lambda_{\mathrm{div}(fa)} = d(f\omega_a) = df \wedge \omega_a + f(d\omega_a) \quad (\text{by the product rule}) \\ = \lambda_{\mathrm{grad} f \cdot a} + \lambda_{f\mathrm{div}(a)} \\ = \lambda_{\mathrm{grad} f \cdot a + f\mathrm{div}(a)} $$

Regarding the proof of $ \operatorname{rot}(\operatorname{rot} A) $:

I think there might be a way to prove it using the following expression:

$$ \omega_{\operatorname{rot}(\operatorname{rot} A)} = d(*d\nu_A) = ? $$

Here, $ \nu_A $ is a 1-form whose components correspond to those of $ A $. I suspect the properties of the Hodge star operator could be useful here. While I could verify this calculation component-wise without using differential forms, I am searching for a more efficient, conceptual method that fully leverages the power of differential forms, similar to the approach used in the example above.

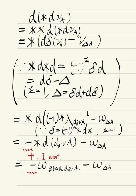
I have also considered using the Laplace-de Rham operator, but when I worked through the calculation, I encountered sign issues and didn't obtain the desired result(like the picture below). I am not entirely confident in my reasoning and would appreciate any insights. If anyone could provide a clear proof or point out where my calculation may have gone wrong, that would be extremely helpful.

enter image description here

  • Please add significantly more detail to your question. – Chris Sep 15 '24 at 06:54
  • Hodge star sounds promising. If you know what the Hodge star of a $2$-form in $\mathbb R^3$ is (please don't ask us to explain that) you might be able to answer the question yourself. Edit: the example you gave is irrelevant. – Kurt G. Sep 15 '24 at 08:16
  • 2
    It is highly recommended (and simple) to preform those calculations component wise. I don't know what "powers" of differential forms you are expecting. Hints: $$ \star,dx=dy\wedge dz,\quad\star,dy=dz\wedge dx,\quad\star,dz=dx\wedge dy,. $$ $$ \boldsymbol{\omega}=A_x,dx+A_y,dy+A_z,dz $$ Hint: rot$A$ is musically isomorpic to $d\boldsymbol{\omega},.$ Wat is $\star,d\boldsymbol{\omega},?$ – Kurt G. Sep 15 '24 at 09:42
  • I was able to derive the result by calculating it component-wise. I've also done similar component-wise calculations in vector calculus. What I'm interested in is whether it's possible to derive the result without resorting to component-wise calculations, using differential forms (which is the power of form I referred to). – Siderianaut Sep 15 '24 at 10:23
  • Correcting a typo: rot$A$ is musically isomorphic to the $1$-form $\star,d\boldsymbol{\omega},.$ Therefore the final result should be $$ \operatorname{rot}(\operatorname{rot}A)=(\star,d\star d,\boldsymbol{\omega})^\sharp,. $$ The power of differential forms it not in the derivation of that formula but in the fact that the RHS is a coordinate free expression that can be defined in every dimension. – Kurt G. Sep 15 '24 at 11:29
  • Thank you. I had just started learning about differential forms, but by looking up the concepts mentioned in the comments, my understanding has deepened. – Siderianaut Sep 16 '24 at 00:24

2 Answers2

1

Its a very simple map: Any vector field euclidean $\mathbb R^3$can be transformed to a 1-component field by

$$\sum_i A_i(x) \ dx^i = \tilde A_1(y) dy^1$$ with exterior derivative $$d \tilde A_1(y) dy^1 = \partial_2\ \tilde A_1(y) \ dy^2\wedge dy^1 \ + \ \partial_3\ \tilde A_1(y) \ dy^3\wedge dy^1 $$ It's Hodge dual is the scalar product wirth the volume form $$\star (d \tilde A_1(y) dy^1 ) \ = \ \partial_2 \tilde A_1(y)\ \langle dy^2\wedge dy^1 , \ \ dy^1\wedge dy^2\wedge dy^3 \rangle + \partial_3 \tilde A_1(y) \ \langle dy^3\wedge dy^1, \ \ dy^1\wedge dy^2\wedge dy^3 \rangle = \ \partial_2 \tilde A_1(y)\ dy ^3 \ - \ \partial_3 \tilde A_1(y) \ dy ^2$$
Generalize by adding the circular terms $1\to 2\to 3\to 1.$

Finally

$$d \star d \tilde A_1(x) \ dy^1 \ = \ \partial_{1,2} \tilde A_1(y)\ dy^1\wedge dy^3 + \partial_{2,2} \tilde A_1(y)\ dy^2\wedge dy^3 - \ \partial_{3,1} \tilde A_1(y) \ dy^1\wedge dy^2 - \ \partial_{3,3} \tilde A_1(y) \ dy^3\wedge dy ^2$$

Going back to 1-forms

$$\begin{align}&\star d \star d \tilde A_1(x) \ dy^1 \ \\&= \langle(- \partial_{1,2} \tilde A_1(y)\ dy^3 + \ \partial_{1,3} \tilde A_1(y) \ dy^2) \wedge dy^1 + ( \partial_{2,2} \tilde A_1(y)\ \ + \ \partial_{3,3} \tilde A_1(y) ) \ dy^2\wedge dy ^3, \quad dy^1\wedge \ dy^2 \wedge dy^3\rangle \\ & (\partial_{i,i} A_k - \partial_{ik} A_i)dx^k \end{align}$$

This complies to

$$\nabla \times(\nabla \times \ A) = \nabla (\nabla \cdot A) - (\nabla \cdot \nabla) A $$ up to a sign. The difference is $$\star^2 A =-A$$

Roland F
  • 5,122
  • $\star^2=-1$ cannot be true in Euclidean $\mathbb R^3,.$ – Kurt G. Sep 15 '24 at 12:21
  • We have $$\star a_1 dx^1 = a_1 dx^2 \wedge dx^3 $$ and $$\star \star a_1 dx^1 = \langle a_1 dx^2 \wedge dx^3 , dx^1 \wedge dx^2 \wedge dx^3\rangle = - a_1 dx^1 $$ by contraction in the midle. – Roland F Sep 15 '24 at 12:50
  • First of all it seems that you are claiming that the formula $**\omega=\left(-1\right)^{k\left(n-k\right)}\omega$ in the link is wrong. Unlikely since it can be found in numerous sources. Second: what kind of contraction is that? – Kurt G. Sep 15 '24 at 15:59
  • Thank you. After carefully checking the signs and calculating in the same way, I was able to get the correct result. – Siderianaut Sep 16 '24 at 00:30
  • @ Kurt G.: We know that the correct canonical way is to use the Clifford square $\langle dx^i,dx^k \rangle = - G^{ik}$ in order to preserve orientation; but any attempt to give a short introduction to Dirac operators before doing tensor analysis is doomed to fail in courses of electrodynamics. So we follow the classical path: concentrate on the algebra - Einsteins way - and correct overall signs at the end. – Roland F Sep 16 '24 at 06:30
  • I cannot follow. It sounds like you are caught up in Minkovski space where of course $\star\star=-1$ is possible. – Kurt G. Sep 16 '24 at 10:03
1

The so called BAC-CAB formula $$\tag1 \nabla\times(\nabla\times A)=\nabla(\nabla\cdot A)-\Delta A $$ is well known and it is interesting to try to write it in terms of differential forms.

I claim this leads to $$\tag2 \star\,d\,\star dA^\flat=d\,\star d\,\star A^\flat\color{red}{+}(d\delta+\delta d)A^\flat $$ where $$\tag3 \delta=(-1)^k\star\,d\,\star $$ is the codifferential and $k$ is the grade of the form it acts on.

That the LHS and the first terms of the RHS of (1) and (2) agree is easy to see.

The rest of this post will mostly try to explain the $\color{red}{red}$ plus sign in (2).

I stress that we are working in $\mathbb R^3$ with Euclidean signature. Then the Hodge dual is, as we know, defined by $$\tag4 \star\,dx=dy\wedge dz,\quad\star\,dy=dz\wedge dx,\quad\star\,dz=dx\wedge dy\,,\quad \star(dx\wedge dy\wedge dz)=1 $$ and $$\tag5 \star\,\star=1\,. $$ To see that the Hodge-Laplace-de Rham operator $d\delta+\delta d$ is the classical Laplace operator when it acts on $0$-forms (functions) observe that

\begin{align} &k=0\,,&(d\delta+\delta d)f&=d\star \underbrace{d\,\star f}_{0}+\star\, d\star df=\star\,d\big(f_{,x}\,dy\wedge dz+f_{,y}\,dz\wedge dx+f_{,z}\,dx\wedge dy\big)\\ &&&=\Delta f\,\tag6 \end{align} where the subscript $,x$ means partial differentiation w.r.t. $x$ and so on.

However, in (2) the form $A^\flat$ is the $1$-form $$\tag7 A_x\,dx+A_y\,dy+A_z\,dz $$ and $dA^\flat$ is a $2$-form. By (3) this leads to \begin{align}\tag8 &k=1,2\,,&(d\delta+\delta d)A^\flat&=\color{red}{-}d\star d\,\star \underbrace{A^\flat}_{\text{$1$-form}}\color{red}{+}\star\, d\star\underbrace{ dA^\flat}_{\text{$2$-form}} \end{align} which proves (2).

Kurt G.
  • 17,136
  • Thank you. By remembering the key points of that derivation and parts of the article from this link, it seems I can easily derive the formula for the curl of the curl (rot rot), even if I forget it. – Siderianaut Sep 17 '24 at 23:18