Time dependent perturbation theory in quantum mechanics is often derived using the Method of Successive Approximations for a Differential Equation. I have not seen an explanation or a more rigorous outline of proof as to why this should work?
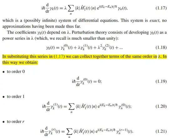
Normally we start with this equation: $$ i\hbar \dot d_f=\sum_n\langle f^0|H^1(t)|n^0\rangle e^{i\omega_{fn} t}d_n(t) $$ and then we say that to zeroth order the RHS is 0. and then we plug that into the first order and so on, as outlined in Shankar:
and as what $d_f(t)$ is. To zeroth order, we ignore the right-hand side of Eq. (18.2.5) completely, becasue of the explicit $H^1$, and get $$\dot d_f=0 \tag{18.2.7}$$ in accordance with our expectations. To first order, we use the zeroth-order $d_n$ in the right-hand side because $H_1$is itself of first order. This gives us the first-order equation $$ \dot d_f(t)=\frac{-i}\hbar\langle f^0|H^1(t)|i^0\rangle e^{i\omega_{fi} t} \tag{18.2.8} $$ the solution to which is, with the right initial conditions, is $$ d_f(t) = \delta_{fi} - \frac{i}\hbar\int_0^t \langle f^0|H^1(t')|i^0\rangle e^{i\omega_{fi} t'}\text dt' \tag{18.2.9} $$
But how could we explain why this should work more rigorously?
