0

enter image description here

So doing it this way is easy $ \int_D \nabla F dV $ which gives me $8/3$

But doing it via $ \int _{\delta D}F\cdot nds=\int _{\delta D}F\cdot n\left|r\left(t\right)\right|dt$ gives me troubles.

After drawing a diagram and getting my normal vectors $\begin{pmatrix}0\\ 1\end{pmatrix}$ and $\begin{pmatrix}-2t\\ 1\end{pmatrix}$ and respective paths $r_1\left(t\right)=\begin{pmatrix}t\\ 1\end{pmatrix}$ and $r_2\left(t\right)=\begin{pmatrix}t\\ t^2\end{pmatrix}$

The first integral becomes $$\int _{-1}^1\begin{pmatrix}t\\ t\end{pmatrix}\cdot \begin{pmatrix}0\\ 1\end{pmatrix}\sqrt{1^2+0}dt$$ which gives me $2$. Simiarly, the second integral gives me $-4/3$ and adding them together gives me $2/3$ which contradicts $8/3$ !!!

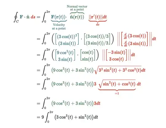
Edit: this is the method i want to use

enter image description here

  • Have you verified that your normal vectors are both: pointing in the correct directions for divergence theorem? unit vectors? Separately from those two issues, your parametrization inside of the first line integral you did was wrong. – Ninad Munshi Jun 30 '24 at 18:23
  • sorry it should be (0, t) you are right, a line at y = 1 and x = 0 . Yes the normal vectors are normal pointing away fromt eh curves and unit vectors. (in the second path the unit scaler cancels out with the ds = |...|dt – user832075 Jun 30 '24 at 18:34
  • after differentiation the $(0,t)$ becomes $(0, 1)$ and then the normal vector is $(-1, 0)$ – user832075 Jun 30 '24 at 18:42
  • It's good you checked these things. However you're still incorrect about how the second normal vector points. Hint: on the right side of the parabola, do you want the vector pointing right or left? Or even at the vertex, do you want the vector pointing up or down? – Ninad Munshi Jun 30 '24 at 18:42
  • For your second comment, I'm confused what you're talking about. What is $(0,t)$, and why must it be differentiated? – Ninad Munshi Jun 30 '24 at 18:44
  • $(0, t)$ is $r(t)$ so we want $r'(t)$. At the right of the parabola i want the vector to point right. Ok so actually it should be $(2t, -1)$ ie. the minus is on the bottom entry. Then my integration is just $4/3$ which is just the opposite sign of what i have computed. Adding this to $2$ still doesnt give me $8/3$ – user832075 Jun 30 '24 at 19:06
  • The integral you are supposed to calculate does not involve $|r'(t)|,.$ It looks like you are mixing up line integrals of vector fields with those of scalar fields. – Kurt G. Jun 30 '24 at 21:17
  • @KurtG.i belieev it should, please look at the edit i have made – user832075 Jun 30 '24 at 22:16

1 Answers1

1

By Gauss' theorem in 2D you are supposed to calculate $$\tag1 \int_{\partial D}F_y\,dx-F_x\,dy= \int_{\partial D}y\,dx-x\,dy\,. $$ When a part of the boundary of $D$ is parametrized by $$ [a,b]\ni t\mapsto \pmatrix{x(t)\\y(t)} $$ then the integral over that part is $$ \int_a^b\Big\{y(t)\,\frac{dx(t)}{dt}-x(t)\,\frac{dy(t)}{dt}\Big\}\,dt= \int_a^b\Big\{y(t)\,\dot x(t)-x(t)\,\dot y(t)\Big\}\,dt\,. $$ This follows almost automatically from (1). If you realize that $$ \pmatrix{\dot x\\\dot y} $$ is the tangent vector to the boundary and $$ \pmatrix{-\dot y\\\dot x} $$ the normal vector it should be clear that the integral (1) calculates the flux of $F$ through the boundary.

In your case, the boundary of $D$ consists of two parts which we parametrize as $$ [-1,1]\ni t\mapsto\pmatrix{t\\t^2}\,,\quad [-1,1]\ni t\mapsto \pmatrix{\color{red}-t\\1}\,. $$ The minus sign is necessary for the second part to maintain counterclockwise orientation.

Then the integral for the first part is $$ \int_{-1}^1\big\{t^2-2t^2\big\}\,dt=-\frac 23\,. $$ The integral for the second part is $$ \int_{-1}^1\big\{-1+t\cdot 0\big\}\,dt=-2\,. $$ The sum is $-8/3\,.$

Edit: I get now what the mistakes were that you made.

  • You did not maintain the same orientation on the two parts of $\partial D$ because the signs of your integrals flip: They are $2$ and $-4/3\,.$

  • Unfortunately you do not show you got $-4/3$ but I am pretty sure that you forgot to normalize your vector $\mathbf{n}$ to unit length. In my notation you should have done the (obviously unnecessary) calculation $$ \int_a^b\frac{y(t)\,\dot x(t)-x(t)\,\dot y(t)}{|\dot r(t)|}|\dot r(t)|\,dt $$ where $$ |\dot r(t)|=\sqrt{\dot x^2(t)+\dot y^2(t)}\,. $$ This integral is (in yet another notation) $$ \int_C\pmatrix{x\\y}\cdot\boldsymbol{n}\,ds\,. $$ In your case the unnormalized normal vector on that curved part of $\partial D$ is $(-2t,t)\,.$

  • Why that normalization is unnecessary and when it is helpful in some symmetric situations is explained here.

Kurt G.
  • 17,136
  • thanks very much for this approahc, i like it. However, I was mainly interested in this 2nd method (see edit). Since it parallels the way to solve 3D flux integrals. – user832075 Jun 30 '24 at 22:17
  • thank you kurt g, now i undersgtand my mistakes as well. However, i believe the normalising is unecessary and i will provide and edit to my post showing my working out for this case and let you know later. – user832075 Jul 01 '24 at 09:33