Evaluate $\displaystyle \int_{0}^{2\pi}\int_{0}^{\pi}\frac{(z_0-R\cos\theta)\sin^2\theta\cos\phi}{[(x_0-R\cos\phi\sin\theta)^2+(y_0-R\sin\phi\sin\theta)^2+(z_0-R\cos\theta)^2]^{\frac{3}{2}}}d\theta d\phi$ where $x_0,y_0,z_0$ and $R$ are constants with $x_0^2+y_0^2+z_0^2<R^2$.
This problem comes from an interesting physics exercise. A spherical shell of radius $R$, carrying a uniform surface charge $\sigma$, is set spinning at angular velocity $\omega$ around the z axis. Prove that the magnetic field inside this shell is a constant vector and has no x or y components.
My attempt I try to use the spherical coordinate frame with Biot-savart's law, which states that $\displaystyle d\overrightarrow{B}=\frac{\mu_0}{4\pi}\frac{{Id\overrightarrow{l}\times\overrightarrow{R}}}{R^3}$. In this question, $I=R^2\omega\sigma\sin\theta d\theta$ and $d\overrightarrow{l}=R(\overrightarrow{k}\times\overrightarrow{n})d\phi$, where $\overrightarrow{k}$ is the unit vector pointing towards the positive z axis, and $\overrightarrow{n}$ is the normal vector of the spherical surface pointing outwards. Take an arbitrary point $(x_0,y_0,z_0)$ inside the sphere and let $\overrightarrow{r}=x_0\overrightarrow{i}+y_0\overrightarrow{j}+z_0\overrightarrow{k}$. The total magnetic field at this point then becomes $$\overrightarrow{B}=\frac{R^3\omega\sigma\mu_0}{4\pi}\int_{0}^{2\pi}\int_{0}^{\pi}\frac{\sin\theta(\overrightarrow{k}\times\overrightarrow{n})\times(\overrightarrow{r}-\overrightarrow{R})}{|\overrightarrow{r}-\overrightarrow{R}\big|^3}d\theta d\phi.$$
By calculation, $\sin\theta(\overrightarrow{k}\times\overrightarrow{n})\times(\overrightarrow{r}-\overrightarrow{R})=(z_0-R\cos\theta)\sin^2\theta\cos\phi\overrightarrow{i}+(z_0-R\cos\theta)\sin^2\theta\sin\phi\overrightarrow{j}+(R\sin^3\theta-x_0\cos\phi\sin^2\theta-y_0\sin^2\theta\sin\phi)\overrightarrow{k}.$
Therefore, $$B_x=\frac{R^3\omega\sigma\mu_0}{4\pi}\int_{0}^{2\pi}\int_{0}^{\pi}\frac{(z_0-R\cos\theta)\sin^2\theta\cos\phi}{[(x_0-R\cos\phi\sin\theta)^2+(y_0-R\sin\phi\sin\theta)^2+(z_0-R\cos\theta)^2]^{\frac{3}{2}}}d\theta d\phi,\\B_y=\frac{R^3\omega\sigma\mu_0}{4\pi}\int_{0}^{2\pi}\int_{0}^{\pi}\frac{(z_0-R\cos\theta)\sin^2\theta\sin\phi}{[(x_0-R\cos\phi\sin\theta)^2+(y_0-R\sin\phi\sin\theta)^2+(z_0-R\cos\theta)^2]^{\frac{3}{2}}}d\theta d\phi,\\B_z=\frac{R^3\omega\sigma\mu_0}{4\pi}\int_{0}^{2\pi}\int_{0}^{\pi}\frac{R\sin^3\theta-x_0\cos\phi\sin^2\theta-y_0\sin^2\theta\sin\phi}{[(x_0-R\cos\phi\sin\theta)^2+(y_0-R\sin\phi\sin\theta)^2+(z_0-R\cos\theta)^2]^{\frac{3}{2}}}d\theta d\phi.$$
I've been trying to prove that the x component is zero, but it seems hard even if I exchange the integration order. Also, I don't observe any symmetric properties which can simplify the calculation process, or any terms that can cancel out.
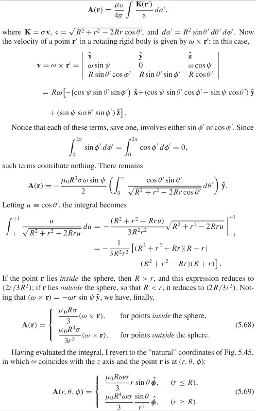
On the other hand, I check the answer (from INTRODUCTION TO ELECTRODYNAMICS, fourth edition, David J. Griffiths) of this exercise, which is given below. However, I still prefer finding a way of directly calculating $$\int_{0}^{2\pi}\int_{0}^{\pi}\frac{(z_0-R\cos\theta)\sin^2\theta\cos\phi}{[(x_0-R\cos\phi\sin\theta)^2+(y_0-R\sin\phi\sin\theta)^2+(z_0-R\cos\theta)^2]^{\frac{3}{2}}}d\theta d\phi$$ instead of using the vector potential. Any help will be appreciated.