Let $F$ be the splitting field of an irreducible quartic polynomial $f \in \Bbb Q[x]$.
If Galois group of $F/\Bbb Q$ is $D_4$, I try to determine all intermediate subfields explicitly.
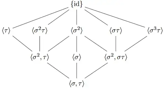
$D_4=⟨σ,τ⟩$, $σ=(1234)$, $τ=(24)$, written as permutations of roots $α_1,α_2,α_3,α_4$ of $f$.
(the product $σ τ$ represents the permutation $τ(σ(·))$)
All subgroup relations shown above are subgroups of index $2$, so they correspond to field extensions of degree $2$.
Let $∆$ be the discriminant of $f$.
Then I found
\begin{array}{l} F^{\{\text{id}\}}=ℚ[α_1,α_2,α_3,α_4]\\ F^{⟨τ⟩}=ℚ[α_1]=ℚ[α_3]=F^{⟨σ^2,τ⟩}[α_1-α_3]\\ F^{⟨σ^2τ⟩}=ℚ[α_2]=ℚ[α_4]=F^{⟨σ^2,τ⟩}[α_2-α_4]\\ F^{⟨σ^2⟩}=F^{⟨σ⟩}[α_1-α_2+α_3-α_4]=F^{⟨σ^2,στ⟩}[α_1-α_2+α_3-α_4]=F^{⟨σ^2,τ⟩}[(α_1-α_3)(α_2-α_4)]\\ F^{⟨στ⟩}=ℚ[α_1-α_2-α_3+α_4]=F^{⟨σ^2,στ⟩}[α_1-α_2-α_3+α_4]\\ F^{⟨σ^3τ⟩}=ℚ[α_1+α_2-α_3-α_4]=F^{⟨σ^2,στ⟩}[α_1+α_2-α_3-α_4]\\ F^{⟨σ^2,τ⟩}=ℚ[α_1+α_3]=ℚ[α_2+α_4]=ℚ[α_1-α_2+α_3-α_4]=ℚ[α_1α_3]=ℚ[α_2α_4]\\ F^{⟨σ⟩}=ℚ[(α_1-α_3)(α_2-α_4)(α_1-α_2+α_3-α_4)]\\ F^{⟨σ^2,στ⟩}=ℚ[(α_1-α_3)(α_2-α_4)]=ℚ[\sqrt{\Delta}]\\ F^{⟨σ,τ⟩}=ℚ \end{array} Is this correct?
When the Galois group of $f$ is $C_4$,
the list of intermediate subfields is

where $\delta_{a,b,c,d}=(a-b)(a-c)(a-d)(b-c)(b-d)(c-d)$.
When the Galois group of $f$ is $V_4$,
$a+b,ab$ are fixed by $⟨(12)(34)⟩$. By irreducibility of $f$, $(x-a)(x-b)\notinℚ[x]$, so $a+b,ab$ are not both in $ℚ$. Therefore $F^{⟨(12)(34)⟩}=ℚ[a+b,ab]$.
Similarly, $F^{⟨(13)(24)⟩}=ℚ[a+c,ac]$, $F^{⟨(14)(23)⟩}=ℚ[a+d,ad]$.
so the list of intermediate subfields is
I found on page 8 the list of all intermediate subfields when the Galois group of $f$ is $A_4$
Similarly, I made a list of all intermediate subfields when the Galois group of $f$ is $S_4$. Is it correct? Thanks.
I posted the question about $\langle(1234)\rangle$ here:Is $\Bbb Q[a^2b+b^2c+c^2d+d^2a]$ the fixed field of the subgroup $\langle(1234)\rangle$ of Galois group $S_4$?
In the above diagram, red arrows are normal extensions/subgroups, black arrows are non-normal extensions/subgroups, $a,b,c,d$ are roots of $f$, and $\delta_{a,b,c}=(a-b)(a-c)(b-c),\delta_{a,b,c,d}=(a-b)(a-c)(a-d)(b-c)(b-d)(c-d)$.



