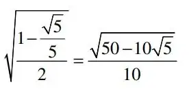
I've been stuck on simplifying this nested radical. I've included a snapshot of the problem and solution that is in the trigonometry book that I am studying.
I've omitted the actual trig problem and just posted a pic of the part that is stumping me. I get the first part correctly but the second part of the equation (the actual correct answer according to the book) is what is stumping me.
I don't know if the book is wrong but any help would be appreciated.
