Lately I have been reading about the cut elimination theorem, I think I get the idea however I have been struggling with some technical details concerning quantifiers.
Consider the following rule:
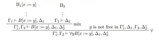
Now in the proof of the cut elimination theorem we are using mixes instead of cuts for technical reasons, so if it appears in a mix (but is inactive) in the following way:
In the above at the "mix" step the idea is that we remove some occurrences of a formula $A$ from $\Gamma_1$ and $\Delta_2$ to get $\Gamma_1^*$ and $\Delta_2^*$. We can find $y$ a variable that appears nowhere and reformulate this step to find:
Now we can use induction to see that we can eliminate the cut, this seems good. However, in the conclusion we end up with $\forall y B[x:=y]$ instead of $\forall x B$ this may not seem to be a big deal because we can go from one formula to the other by doing a substitution... But formally this does not seem to be fine because if I were to go from $\Gamma_1^*, \Gamma_2 \vdash \forall y B[x := y], \Delta_1, \Delta_2^*$ to $\Gamma_1^*, \Gamma_2 \vdash \forall x B, \Delta_1, \Delta_2^*$ I would use $\forall y B[x := y] \vdash \forall x B$ and a cut which would break everything since I can not use the induction anymore to get rid of the cut since the length of the proof will be too long.
Is it possible to end up with $\forall x B$ instead of $\forall y B[x := y]$ without breaking the induction?


