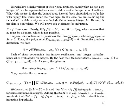
I'm trying to prove that, if $k_1, \cdots k_n$ are distinct squarefree integers than $$ \sum_{i=1}^n \sqrt{k_i} \notin \mathbb{N} $$ without using the theory of algebraic extensions nor Galois theory. the usual proof is the following:
The theorem is true for $n=2$. Assume it is true for $n-1$ squarefree integers, than we have that $$ [ \mathbb{Q}(k_1, \cdots k_{n-1}) : \mathbb{Q} ]>1 $$ where $[K :L]$ is the degree of the field extension. Now assume $$ \sum_{i=1}^n \sqrt{k_i} \in \mathbb{N} $$ than $$ 1=[ \mathbb{Q}(k_1, \cdots ,k_{n-1},k_n) : \mathbb{Q} ]=[ \mathbb{Q}(k_1, \cdots ,k_{n-1},k_{n}) : \mathbb{Q}(k_1, \cdots ,k_{n-1} )] [ \mathbb{Q}(k_1, \cdots ,k_{n-1}) : \mathbb{Q} ] $$ where I have used the tower lemma. This is absurd and so the theorem is proved by induction (to be more precise this proves the theorem for any set of integers that are not perfect squares)
EDIT
I will give some intuition of the proof that $$\mathbb{Q}(\sqrt{k_1}, \sum_{i=2}^{n} \sqrt{k_i})=\mathbb{Q}(\sum_{i=1}^{n} \sqrt{k_i})$$
To do this i will use the following particular case of the primitive element theorem:
If $a,b$ are algebraic over a field of characteristic $0$ than $F(a,b)=F(c)$ for some $c \in F(a,b)$. Moreover if $f$ is the minimal polynmial of $a$ than $c=a+db$ where $d \in F$ is such that $a+db$ is not a root of $f$ in its splitting field
As the minimal polynomial of $\sqrt{k_1}$ is $x^2-k_1$ we see that, if $\sum_{i=2}^n \sqrt{k_i} \ne \pm 2\sqrt{k_1}$ we can choose $d=1$
I will not give the full proof of this, but the core is to show that, if we call $g$ the minimal polynomial of $b$ and $h(x):= f(a+d(b-x))$ we have $$ \gcd(g,h)=\gcd_{F(a+db)}(g,h)=x-b $$
that implies that $b \in F(a+db)$ and so $F(a,b) \subseteq F(a+db)$
here and here there are other proofs that still uses Galois theory of at least field extensions
Is there any elementary proof that can be understood by people without knowledge in abstract algebra ?
The case $n=2$ can be proven by squaring the sum, but already in the case $n=3$ I don't know how to prove it without using field extensions
Update
As said in the comments if the integers are pairwise coprime the case $n=3$ can be proved by using only elementary methods indeed by squaring both members of the equation $$ \sqrt{k_1}+\sqrt{k_2}=N-\sqrt{k_3} $$ and regrouping all the integer terms we have $$ 2\sqrt{k_1k_2} +2N \sqrt{k_3}=N_2 $$ squaring again both members we arrive to $8N \sqrt{k_1k_2k_3}=N_3$ that is never satisfied for pairwise coprime squarefree integers



