0

I have found this identity $x^{n} - a^{n}= (x - a)(x^{n-1} + ax^{n-2} + \dots + a^{n-1})$ while reading Calculus by James Stewart, where it is needed to solve an exercise about partial fractions. However, I haven't been able to find its proof in any known precalculus or basic algebra book. Although it is sometimes proven how $(x-a)$ is a factor of $x^n-a^n$, the proof for the full identity is never shown.

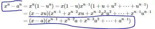
The image below shows a proof found on the Internet, but no actual text book has been found that shows this identity and/or proves it.

enter image description here

Gonçalo
  • 15,869
JPPM
  • 21
  • If you have a proof from the internet, why do you need a book? Are you not convinced by the image you shared? – preferred_anon Oct 18 '23 at 20:31
  • 1
    Just factor $x^n-1$, you'll get the result – julio_es_sui_glace Oct 18 '23 at 20:43
  • Please clarify your specific problem or provide additional details to highlight exactly what you need. As it's currently written, it's hard to tell exactly what you're asking. – Community Oct 18 '23 at 20:50
  • Just expand the right side using the distributive law. Everything cancels out, except $(x)(x^{n-1})$ and $(-a)(a^{n-1})$. – mr_e_man Oct 18 '23 at 20:56
  • @preferred_anon - I wouldn't be convinced by that image alone. It assumes the identity is already proven in the case $x=1$. – mr_e_man Oct 18 '23 at 21:01
  • but no actual text book has been found that shows this identity and/or proves it --- Have you tried looking at some of the well-known older classics, such as the books in this MSE answer? – Dave L. Renfro Oct 18 '23 at 21:58
  • I would like to know if there is a modern book, such as an algebra or precalculus one, that explicitly states this identity and makes a proof for it. I want to get it because I think it is important to have literature to back up mathematical knowledge. Having formulas that just aren't anywhere in books seems off to me – JPPM Oct 18 '23 at 22:16
  • that explicitly states this identity and makes a proof for it --- Visit a university library, go to where all the college algebra and precalculus texts are shelved, and look in their indexes for "synthetic division" and "mathematical induction". You'll find several where this identity is explicitly proved, or a proof is sketched, or the identity appears in an exercise. I personally first saw this identity as an exercise in a section on synthetic division. (continued) – Dave L. Renfro Oct 18 '23 at 22:44
  • A relatively modern and cheap (for used copy) college algebra text that is fairly complete is College Algebra by David Cohen. The identity you're interested in appears on p. 528 of the 1996 4th edition. I suspect you can also find it in the Schaum's Outline for College Algebra. – Dave L. Renfro Oct 18 '23 at 22:44
  • Thanks a lot @DaveL.Renfro! Couldn't find Cohen's book on the web, but I did look at Schaum's and the identity is present! Thank you very much! I still wonder, though... anyone got any clue why sth as basic as this does not show up in well-known books like Cole/Swokowski Algebra and Trig or Stewart's Precalculus? – JPPM Oct 19 '23 at 03:12
  • My guess as to why it doesn't show up in those books is the additional (positive integer) unknown/variable $n,$ which the authors probably considered too difficult or abstract for an identity students will not need until/unless they are advanced enough that the existence of such a factorization is obvious (the factor theorem tells you $x-a$ is a factor) and the identity itself is easily deducible (by long division or by synthetic division). In case you're interested, MSE Answer 1 uses the factorization (continued) – Dave L. Renfro Oct 19 '23 at 06:15
  • of $x^n - a^n$ to obtain the derivative (from its limit definition) of any rational power of $x.$ And, for what it's worth, the useful identity $a^3 + b^3 + c^3 - 3abc = (a + b + c)(a^2 + b^2 + c^2 - ab - bc - ac)$ was very common in 1800s texts but has all but disappeared from texts (US, at least) in the past 100 years. For examples of its use, see MSE Answer 2 AND MSE Answer 3 AND MSE Answer 4. (continued) – Dave L. Renfro Oct 19 '23 at 06:15
  • Finally, the identity $(a+b+c)(a+b-c)(a-b+c)(a-b-c) ; = ; c^4 - 2c^2\left(a^2 + b^2\right) + \left(a^2 - b^2\right)^2$ is used in MSE Answer 5. – Dave L. Renfro Oct 19 '23 at 06:15
  • Thanks a lot! I agree with what you said, it might be a little abstract and not too obvious to introduce this identity in modern, accesible books. And it is not too necessary at that point – JPPM Oct 19 '23 at 17:42

1 Answers1

0

Consider

$(x - a)(\sum_{i=0}^{n-1}x^{i}a^{n-1-i}) = \sum_{i=0}^{n-1}x^{i+1}a^{n-1-i} -\sum_{i=0}^{n-1}x^{i}a^{n-i} = x^n + \sum_{i=0}^{n-2}x^{i+1}a^{n-1-i} - a^n - \sum_{i=1}^{n-1}x^{i}a^{n-i}$.

All is left is to show that $\sum_{i=0}^{n-2}x^{i+1}a^{n-1-i} - \sum_{i=1}^{n-1}x^{i}a^{n-i} = 0$. But, by incrementing the index $i$ by one, we have $\sum_{i=0}^{n-2}x^{i+1}a^{n-1-i} = \sum_{i=1}^{n-1}x^{i}a^{n-i}$. And we are done.

Hope this helps.

Kuzja
  • 505
  • 1
    I'm glad you want to help, but please do not hurry to answer badly posted questions. This one has an image instead of mathjax text, and the OP shows no work of their own. – Ethan Bolker Oct 18 '23 at 20:45
  • Thanks @Kuzja. I'm sorry, but I'm not currently looking for a proof of the identity. I just want to know if it is presented in a well-known book – JPPM Oct 18 '23 at 22:28
  • @EthanBolker the reason why I have no work of my own is that I'm a high school student. Unless this site is a professional thing, I see no issue in having a simple question answered by people who wanna help. This is just a doubt that arose as I was studying calculus – JPPM Oct 18 '23 at 22:33
  • @JPPM High school students are welcome to ask questions here. Simple questions are welcome. All we ask of anyone is that they show some effort trying to find the answer. In this case you might have tried writing the puzzling expression out explicitly (without a $\Sigma$) for $n=2$ and $n=3$. You might then have seen the pattern yourself. Trying to resolve your own doubts is a good way to learn. When you fail, then ask. When you do, no images. Use mathjax: https://math.meta.stackexchange.com/questions/5020/mathjax-basic-tutorial-and-quick-reference – Ethan Bolker Oct 18 '23 at 23:41
  • The thing here is that my question was about a book, and not the problem itself. I'd already understood where the identity came from, I just wanted to know about the math literature behind it, that's it. That's why I didn't bother writing the equation myself. I can understand, though, and I will take your advice for the next time. – JPPM Oct 19 '23 at 03:05
  • And just to know... is it really like a requisite to use MathJax? Is there any real issue with images, apart from the lack of personal dedication shown by their use? – JPPM Oct 19 '23 at 03:08
  • @JPPM - See https://math.meta.stackexchange.com/questions/11696/should-i-edit-a-question-everytime-i-see-an-image-in-it or https://math.meta.stackexchange.com/questions/34121/why-image-cannot-be-used-for-explaining-my-maths-problem – mr_e_man Oct 23 '23 at 21:52
  • Also https://math.meta.stackexchange.com/questions/9966/when-is-ping-necessary-to-cause-comment-notification-to-take-place ; your comment didn't reach Ethan. – mr_e_man Oct 23 '23 at 21:54