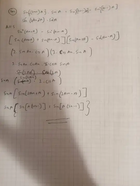
I tried 5 times proving the above identity but I ended up in the same way as shown below (Sorry for the bad handwriting)
I tried substituting $n=0$ to find out whether the question is correct in the first place and after substituting n with 0 I got
$\sin^2 A = \sin^2A - \sin^2 (-A) = 0$
Since the above equation would only be true if $A=0$ is the question correct in the first place
I have only started learning trigonometry like 2 months before and I'm not pretty sure about myself
Thank you in advance :)

