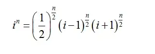
Hi I formulated an equation that calculates powers of the imaginary unit.
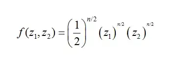
Here it is actually written as a function of two complex variables.
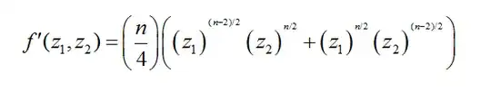
Now because its a function, we can take the derivative to find the rate of change of such function.
Thus its possible to find the rate of change of powers of i^n.
The two complex variables are evaluated at the values shown in the original equation.
What this should give me is the rate at which powers of i change. If we look at the unit circle in the complex place then we see that the distance between any of the values of i^n is of the angle of pi/2 or 90 degrees.
Thus the rate of change should be 90 degree per n. 90/n or even the total angle divided by n.
But upon calculating the derivative above for any n value the result that I keep getting is pi/4 or 45 degrees instead of 90 degrees.
Can anyone shed some insight to this matter? Thanks.


