6

I'm beginning to study Distributions, and I've encountered the following definition in Georgiev's Theory of Distributions:

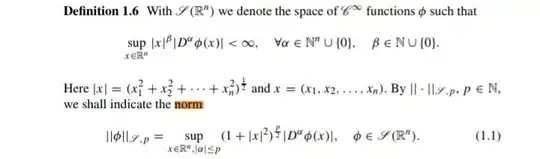
enter image description here enter image description here

Such definition implies that $C^{\infty}_c$ (with the opology given by the norm) is a normed space; however, to my understanding $C^{\infty}_c$ (with the canonical $LF$-topology) is not metrizable, and thus not normable.

Why is Georgiev giving $C^{\infty}_c$ a different topology? Will the distributions defined in Georgiev's given topology match distributions as defined in, say, Rudin's functional analysis?

Mittens
  • 46,352
Sam
  • 5,208
  • This is the definition of the Schwartz space ${\mathcal S}$, not ${\mathcal C}_c^\infty$. – Gribouillis Jul 22 '23 at 14:31
  • 2
    @Gribouillis OP's question still stands, as $\mathcal{C}_c^\infty$ is still a subspace of $\mathcal{S}$ normed, thus it is normed. That's the content of the cited Theorem $1.1$. – Bruno B Jul 22 '23 at 14:33
  • related https://math.stackexchange.com/questions/3510982/doubt-in-understanding-space-mathscr-d-omega/3511753#3511753 – Abdelmalek Abdesselam Jul 26 '23 at 16:19

2 Answers2

5

$C_c^{\infty}$ is indeed a subset of the Schwartz space $\mathcal{S}$, but that does not entail that $C_c^{\infty}$ with the canonical LF topology embeds into $\mathcal{S}$ with its topology defined by the semi-norms in your post.

Indeed, consider the inclusion map $C_c^{\infty} \rightarrow \mathcal{S}$. To say the LF topology coincides with its induced (subspace) topology coming from $\mathcal{S}$ because this map exists, would only be true if this map were a homeomorphism onto its image, which would happen if and only if $\phi_n$ is a cauchy sequence with respect to the LF topology iff it is a cauchy sequence with respect to the topology give by seminorms on $\mathcal{S}$ (since both $C_c^{\infty}$ and $\mathcal{S}$ are complete TVS's).

One direction is true, namely if $\phi_n \rightarrow_{C_c^{\infty}} \phi$ then indeed $\phi_n \rightarrow_{\mathcal{S}} \phi$ , so this map is continuous , and $\phi_n$ being Cauchy in the LF topology implies it is also Cauchy with respect to the topology on $\mathcal{S}$.

This holds true because $\phi_n \rightarrow_{C_{c}^{\infty}} \phi$ iff there exists a compact set $K$ s.t. $\text{supp}(\phi_n), \text{supp}(\phi) \subset K$ and all derivatives converge uniformly to corresponding derivatives of $\phi$ on $K$.

The other direction however, is false, because for instance, the space of compactly supported smooth functions is in fact $\textbf{dense}$ (with respect to the topology on $\mathcal{S}$!) in $\mathcal{S}$, so any non compactly supported element of the Schwartz space gives a counter-example.

More precisely, take any sequence $\phi_n \in C_c^{\infty}$ converging to some non-compactly supported Schwartz function $f$ with respect to the topology on $\mathcal{S}$. Since $\mathcal{S}$ is a complete TVS, $\phi_n$ is Cauchy with respect to the topology on $\mathcal{S}$, and if the other direction were true, $\phi_n$ would also be Cauchy with respect to the LF topology, which would mean it converges in the LF topology to a necessarily compactly supported function, which would necessarily coincide with $f$. But $f$ is not compactly supported, which shows the other direction is false.

  • Corrected one mis-spelling of "Schwartz" :) Also, actually, the TVS topology on any locally convex space can be given by some (separating) family of seminorms... but/and this doesn't change the conclusions. – paul garrett Jul 23 '23 at 20:26
  • @paulgarrett Oh yes, that's true, I should have said "To say the LF topology coincides with the topology induced by the topology on $\mathcal{S}$ because this map exists" instead. I think I saw a construction of the LF topology via semi-norms in Hormanders book on PDE. – porridgemathematics Jul 25 '23 at 06:17
4

It is a proper subset, even a subspace, but it is not a closed subspace. Therefore, any sequence $\{ u_n \} \subset \mathscr{C}_0^{\infty}(\mathbb{R}^n) \subset \mathscr{S}(\mathbb{R}^n)$ converging in the $\mathscr{S}(\mathbb{R}^n)$ topology is not necessarily converging to an element in $u \in \mathscr{C}_0^{\infty}(\mathbb{R}^n)$. In particular, this topology is different from the topology you linked for $\mathscr{C}_0^{\infty}(\mathbb{R}^n)$, since $\mathscr{C}_0^{\infty}(\mathbb{R}^n)$ becomes a complete space with your suggested topology.

On top of that, $\mathscr{S}$ is not a normed subspace, but rather just a metrizable one. The Schwartz space is not even normable in the first place. However, each(!) of the expression (1.1) in your pictures defines a norm.

The clear upshot of $\mathscr{S}(\mathbb{R}^n)$ is that its convergence is more natural, in the sense that you don't need any sort of "concentration", i.e. requiring each $u_n$ to have support in some compact set $K$ independent of $n$. It is also a good space for Fourier transforms, as a function and its Fourier transform cannot have both compact support, unless it's $0$. Examples of a function in $\mathscr{S}(\mathbb{R}^n) \setminus \mathscr{C}_0^{\infty}(\mathbb{R}^n)$ are Gaussians of the form $u(x)=e^{-\frac{1}{2}|x|^2}$.

paul garrett
  • 55,317
F. Conrad
  • 4,580
  • (Repaired some typoze...) But/and, also, "complete" is a more iffy thing for non-metric spaces... Yes, the space of test functions (as an LF-space) is definitely quasi-complete, and that's all we really need for many purposes. Lots of natural (non-metric) spaces are quasi-complete but not "fully" complete: for example, the weak dual of an infinite-dimensional Hilbert space. :) – paul garrett Jul 23 '23 at 20:30
  • Thanks :-) Also good comment, I just meant sth like "sequentially complete". – F. Conrad Jul 23 '23 at 22:22