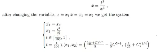
But it was a long time since I took ODE course, so I might be doing something wrong. I need to get it to some form of vector system of first order which would look like $$\frac{dX}{dt} = F(t, X(t))$$ for applying Runge-Kutta algorithms, like it described in this question for example: $2$-dimensional Runge-Kutta for system of polynomial ODEs
Could you please give me advise on how can I do it properly?
I don't know if my guess is right, but I feel like instead I should look for a change of this form $$t = e^{\tau} \, , \, x = ze^{2\tau} \, ,$$ where $z = z(\tau)$ is the new function.
To be fair, the first case doesn't look like a valid change at all.
