Look at this proof: Uniqueness Proof, Discrete Math Help
The first proof is invalid right? There is a mistake when proving uniqueness, I think.
They have proved that there exists $r$ s.t $ar+b=0$, and to prove uniqueness they assume there exists $s$ s.t $as+b=0$, BUT then they just assert $ar+b=as+b$
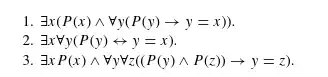
Here are the three strategies for proving uniqueness:

And in none of them you can assume that $P(y) = P(z)$
Why is everyone in the comments saying that it's valid?