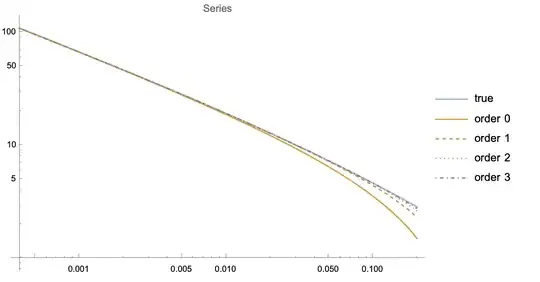
Mathematica gives me the following expression which works well for $s$ near $0$, any idea how to derive this manually?
$$\left(\frac{s}{2}+\frac{\sqrt{2} \sqrt{s}}{\pi -2 \tan ^{-1}\left(\frac{\sqrt{s}}{\sqrt{2}}\right)}\right)^{-1} \approx \frac{\pi }{\sqrt{2} \sqrt{s}}$$
expr = 1/(s/2 + (Sqrt[2] Sqrt[s])/(\[Pi] - 2 ArcTan[Sqrt[s]/Sqrt[2]]));
asymp = Asymptotic[expr, s -> 0]
This appears to be the first term in Series expansion below. Using $x=2s^2$ replacement, the series looks like below
$$ \begin{array}{ccc} & \text{order} & \text{expr} \\ & 0 & \frac{\pi }{2 x}-\frac{\pi ^2}{4}-1 \\ & 1 & \frac{1}{8} \left(8 \pi +\pi ^3\right) x+\frac{\pi }{2 x}-\frac{\pi ^2}{4}-1 \\ & 2 & \frac{1}{48} \left(-32-36 \pi ^2-3 \pi ^4\right) x^2+\frac{1}{8} \left(8 \pi +\pi ^3\right) x+\frac{\pi }{2 x}-\frac{\pi ^2}{4}-1 \\ \end{array}$$
