0

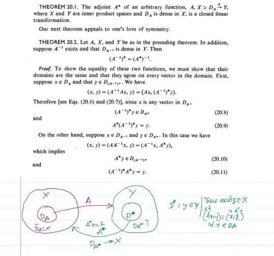
I am trying to understand concept of Adjoint Operator from Functional Analysis by George Bachman. Following is an extract from page 354, of theorem 20.2. I am getting confused between $A$,$A^{-1}$,$A^{*}$,$(A^{-1})^{*}$,$D_{A}$, $D_{A^{*}}$. I have tried to draw this diagrammaticallyenter image description here, but without much success. Can anyone please help me redraw this diagram for better understanding?

SAK
  • 539
  • 1
  • 5
  • 21
  • Since the property $\langle Ax,y\rangle = \langle x, A^\ast y\rangle$ of the adjoint operator involves the inner product, it migth be difficult to draw this with only one copy of $X$ and $Y$ – F_M_ Apr 28 '23 at 09:41
  • noted.....any other way to represent it in figure so that meaning becomes easy to understand – SAK Apr 28 '23 at 10:08
  • this might be relevant, https://math.stackexchange.com/questions/427134/how-to-interpret-the-adjoint – F_M_ Apr 28 '23 at 12:28
  • Maybe some of your confusion will go away by noting that $D_{A}$ stands for the domain of $A$, and that $A \colon X \to Y$, its inverse $A^{-1}\colon Y\to X$ and for the adjoints $A^{\ast}: Y^\ast \to X^\ast$ and $(A^\ast)^{-1}\colon X^\ast \to Y^\ast$ where $X^\ast$ is the dual space of $X.$ But here, by Riesz theorem $X\cong X^\ast$ (and the same holds for $Y$). – F_M_ Apr 28 '23 at 12:34
  • Yes thanks for that. However if somehow this could be represented pictorially, it will make it easier to follow. – SAK Apr 29 '23 at 04:42

0 Answers0