
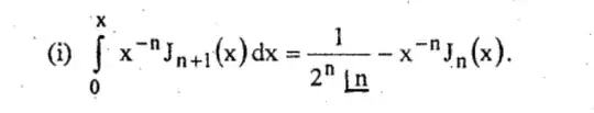
how to prove that $$\int_0^x x^{-n} J_{n+1} (x)dx= \frac{1}{ 2^nn} -x^{-n} J_n (x).$$

how to prove that $$\int_0^x x^{-n} J_{n+1} (x)dx= \frac{1}{ 2^nn} -x^{-n} J_n (x).$$
As per Factorial - History on Wikipedia,
Another later notation, in which the argument of the factorial was half-enclosed by the left and bottom sides of a box, was popular for some time in Britain and America but fell out of use, perhaps because it is difficult to typeset.
By way of saying: $\underline{| n}$ in the scan is not $n$, it is $n!$.
Indeed: from the Wikipedia page or DLMF (amongst others), we have the recurrence relation $$ \frac{d}{d x} \Bigl( x^{-n} J_n(x) \Bigr) = -x^{-n} J_{n + 1}(x). $$
Integrating both sides of this from $0$ to $t$ we get $$ \int_0^t x^{-n} J_{n + 1}(x) \, d x = -x^{-n} J_n(x) \biggr\rvert_{x = 0}^{x = t} = -t^{-n} J_n(t) + \lim_{x \to 0^{+}} x^{-n} J_n(x). $$ The remaining limit is (again by e.g. DLMF) $$ \lim_{x \to 0^+} x^{-n} J_n(x) = \lim_{x \to 0^+} x^{-n} \frac{x^n}{2^n} \frac{1}{\Gamma(n+1)} = \frac{1}{2^n \Gamma(n+1)} = \frac{1}{2^n n!} $$ for integers $n > 0$.