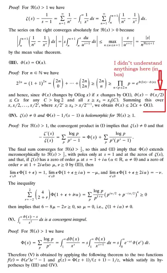
27

I am trying to understand this short proof by newmann. I faced some problems while grasping this very proof. Please help me out.

1 . I am not clear, why in step (1)'s proof he says that from unique factorization and the absolute convergence of zeta we have... [here factorization makes sense but where did he use absolute convergence to prove (1).]

2 . Step 2 is clear but where will he use it (may be I will out later as i am still working on next steps.

3 . My major problem is to understand step 3rd's last part that i put it in the red box. please elaborate it. I didn't understand anything in this box.

I am still working on the next steps of the proofs. If i get any problem in them i will ask you.

Thank you so much in advance.

Prime number theorem

enter image description here

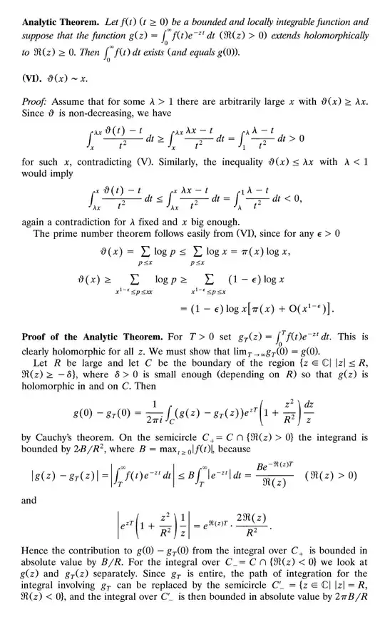
1 Answers1

24

Re 1., the absolute convergence is used to be able to write the product of the sums as the sum of products of terms. If you have two sequences $(a_n),\, (b_k)$ of complex numbers, and the series $A = \sum_{n=0}^\infty a_n$ and $B = \sum_{k=0}^\infty b_k$ are convergent, can you write $A\cdot B$ as a series using the $a_n$ and $b_k$? Since there is no natural ordering on the index set $\mathbb{N}\times\mathbb{N}$ of the set of all products $a_nb_k$, it is difficult at least to express $A\cdot B$ as a series of terms built from the individual products if the convergence is only conditional. But if the convergence is absolute, the order of summation doesn't matter, all orderings give the same sum. Here, with $a_n = (p^n)^{-s}$ and $b_k = (q^k)^{-s}$ for distinct primes $p,\,q$, besides the usual Cauchy product of the series, we have a somewhat natural ordering by the products of the bases $p^nq^k$.

Re 2., The result is used in step $\mathbf{IV}$, though a quick glance seems to indicate that a weaker result, that $\zeta(s) - \frac{1}{s-1}$ extends holomorphically to $\Re s > 1-\varepsilon$ for some $\varepsilon > 0$ would suffice. But since the proof immediately yields the extension to $\Re s > 0$, why state something weaker?

Re 3., from the inequality

$$e^{\vartheta(2n) - \vartheta(n)} \leqslant 2^{2n},$$

one obtains

$$\vartheta(2n) - \vartheta(n) \leqslant \log 2\cdot (2n).\tag{1}$$

The inequality aimed for is

$$\vartheta(x) - \vartheta(x/2) \leqslant C\cdot x\tag{2}$$

for all $x > 0$. For $x$ of the particular form $x = 2n,\; n \in \mathbb{Z}^+$, the inequality is just $(1)$. For general $x$, choose $n = \lfloor x/2\rfloor$ to obtain

$$\begin{align} \vartheta(x) - \vartheta(x/2) &= \vartheta(2n) - \vartheta(n) + \left(\vartheta(x) - \vartheta(2n)\right) + \left(\vartheta(n) - \vartheta(x/2)\right)\\ &\leqslant \log 2\cdot (2n) + O(\log x) + O(\log x)\\ &\leqslant C\cdot x \end{align}$$

absorbing the possible logarithmic contributions into the constant for $x \geqslant x_0$. The $x_0$ depends on the constant $C$, you must have $\log x \leqslant (C - \log 2)x$ [because $\log x$ is the maximal possible value of $\left(\vartheta(x) -\vartheta(2n)\right) - \left(\vartheta(x/2) - \vartheta(n)\right)$].

Having that, one writes

$$\vartheta(x) = \left(\vartheta(x) - \vartheta(x/2)\right) + \left(\vartheta(x/2) - \vartheta(x/4)\right) + \dotsb + \left(\vartheta(x/2^r) - \vartheta(x/2^{r+1})\right) + \vartheta(x/2^{r+1})$$

and each difference is bounded by $C\cdot \frac{x}{2^k}$, while the last term is bounded by $\vartheta(x_0)$, so you get

$$\vartheta(x) \leqslant \sum_{k=0}^r C\cdot \frac{x}{2^k} + \vartheta(x_0) \leqslant 2Cx + \vartheta(x_0).$$


Explanation of part $(\mathbf{IV})$:

From the Euler product, by termwise logarithmic differentiation for $\Re s > 1$, one obtains

$$-\frac{\zeta'(s)}{\zeta(s)} = \sum_{p} \frac{\log p}{p^s-1}.$$

Termwise differentiation is legitimate because of the locally uniform convergence of the product, like for series. Then, by $\frac{1}{p^s-1} = \frac{1}{p^s} + \frac{1}{p^s(p^s-1)}$, and splitting the sum, one obtains

$$-\frac{\zeta'(s)}{\zeta(s)} = \Phi(s) + \underbrace{\sum_p \frac{\log p}{p^s(p^s-1)}}_{\alpha(s)}.$$

Rearranging the equation, we get

$$\Phi(s) = -\frac{\zeta'(s)}{\zeta(s)} - \alpha(s),\tag{3}$$

first for $\Re s > 1$. But by $(\mathbf{II})$, $\zeta(s)$ extends meromorphically to $\Re s > 0$, with a simple pole at $s = 1$ and no other pole. Therefore $-\zeta'(s)/\zeta(s)$ is meromorphic on $\Re s > 0$, with a simple pole at $s = 1$, and simple poles at the zeros of $\zeta$ in $\Re s > 0$.

The sum

$$\sum_p \frac{\log p}{p^s(p^s-1)}$$

converges (locally uniformly) for $\Re s > 1/2$, since

$$\left\lvert \frac{\log p}{p^s(p^s-1)}\right\rvert \leqslant \frac{\log p}{\lvert p^s\rvert (\lvert p^s\rvert -1)} \leqslant \frac{2\log p}{\lvert p^s\rvert^2} = \frac{2\log p}{p^{2\Re s}}$$

for $p$ large enough so that $\lvert p^s\rvert - 1 \geqslant \lvert p^s\rvert/2$ (for $\Re s > 1/2$, that means $p > 4$), and it is well known that $\sum \frac{\log n}{n^t}$ converges for $t > 1$.

So on the right hand side of $(3)$, we have a function that is meromorphic on $\Re s > 1/2$, hence we can extend the left hand side - $\Phi$ - meromorphically to the half plane $\Re s > 1/2$ by defining it as the right hand side for $1/2 < \Re s \leqslant 1$. Since $\alpha(s)$ has no poles, the poles of $\Phi$ in that half plane are exactly the poles of $-\zeta'(s)/\zeta(s)$.

When a meromorphic function $f$ has a simple pole in $z_0$, i.e. it has a representation

$$f(z) = \frac{a}{z-z_0} + g(z)$$

in a punctured neighbourhood of $z_0$ with a holomorphic $g$, then we have $\lim\limits_{z\to z_0} (z-z_0)f(z) = a$ (the residue of $f$ in $z_0$). When a meromorphic function $f$ has a zero of order $k$ in $z_0$, then its logarithmic derivative $f'/f$ has a simple pole with residue $k$ in $z_0$:

$$\begin{align} f(z) &= (z-z_0)^k\cdot g(z),\; g(z_0) \neq 0\\ \rightsquigarrow \frac{f'(z)}{f(z)} &= \frac{k(z-z_0)^{k-1}g(z) + (z-z_0)^kg'(z)}{(z-z_0)^kg(z)} = \frac{k}{z-z_0} + \frac{g'(z)}{g(z)}. \end{align}$$

Similarly, if $f$ has a pole of order $k$ in $z_0$, then the logarithmic derivative has a simple pole with residue $-k$ in $z_0$.

For uniformity of expression, we say that $f$ has a zero (or pole) of order $0$ in $z_0$ if $f$ is holomorphic in $z_0$ and $f(z_0) \neq 0$, and by abuse of language, that $f$ has a simple pole with residue $0$ in points of holomorphy.

Since in $(3)$ we have the negative of the logarithmic derivative of $\zeta(s)$, the signs flip, and the simple pole of $\zeta$ in $s = 1$ leads to a simple pole with residue $1$ of $\Phi$ in $s = 1$, thus $\lim\limits_{\varepsilon \to 0} \varepsilon \Phi(1+\varepsilon) = 1$ - the convergence need not be restricted to approaching $1$ via positive $\varepsilon$ per se, but in the following inequality, $\varepsilon > 0$ is needed. The other two limits are by the same reason, a zero of order $\mu$ resp. $\nu$ of $\zeta(s)$ produces a simple pole with residue $-\mu$ resp. $-\nu$ for the negative logarithmic derivative. And finally, the symmetry $\zeta(\overline{s}) = \overline{\zeta(s)}$ means that if $\zeta(s)$ has a zero of order $\mu$ in $1 + i\alpha,\; \alpha \in \mathbb{R}\setminus\{0\}$, then it also has a zero of order $\mu$ in $1 - i\alpha$.

By explicit summation, one obtains the equality

$$\sum_{r=-2}^2 \binom{4}{2+r} \Phi(1+\varepsilon + ir\alpha) = \sum_p \frac{\log p}{p^{1+\varepsilon}}\left(p^{i\alpha/2} + p^{-i\alpha/2}\right)^4,$$

and each term in the sum on the right is nonnegative, hence the sum is $\geqslant 0$. Multiplying with $\varepsilon > 0$ and taking the limit $\varepsilon \searrow 0$, one obtains

$$0 \leqslant \lim_{\varepsilon\searrow 0} \sum_{r=-2}^2 \binom{4}{2+r} \varepsilon\Phi(1+\varepsilon + ir\alpha) = 6 - 8\mu - 2\nu,$$

and since $\mu,\, \nu \geqslant 0$ because $s = 1$ is the only pole of $\zeta(s)$, that inequality can only hold if $\mu = 0$, so $\zeta(1 + i\alpha) \neq 0$.


Part $(\mathbf{VI})$:

You're right, the $xx$ is a typo and should be $x$. Since certainly $\pi(y) \leqslant y$, in the last line we can replace $-\pi(x^{1-\varepsilon})$ with $O(x^{1-\varepsilon})$ to obtain

$$\vartheta(x) \geqslant (1-\varepsilon)\log x \left(\pi(x) + O(x^{1-\varepsilon})\right).$$

We can't take the limit $\varepsilon \searrow 0$ in that inequality, since in the limit we would lose the guarantee that the $O(x^{1-\varepsilon})$ term grows slower than $\frac{x}{\log x}$.

Together with $\vartheta(x) \sim x$, the inequality $\vartheta(x) \leqslant \pi(x)\log x$ yields

$$\liminf_{x\to\infty} \frac{\pi(x)\log x}{x} \geqslant \lim_{x\to\infty}\frac{\vartheta(x)}{x} = 1.$$

The other inequality, $\vartheta(x) \geqslant (1-\varepsilon)\log x\left(\pi(x) + O(x^{1-\varepsilon})\right)$, yields

$$\frac{\pi(x)\log x}{x} \leqslant \frac{\vartheta(x)}{(1-\varepsilon)x} + O\left(\frac{\log x}{x^\varepsilon}\right)$$

and, since $\lim_{x\to\infty}\frac{\log x}{x^\varepsilon} = 0$ for all $\varepsilon > 0$,

$$\limsup_{x\to\infty} \frac{\pi(x)\log x}{x} \leqslant \frac{1}{1-\varepsilon}\lim_{x\to\infty} \frac{\vartheta(x)}{x} + \lim_{x\to\infty}O\left(\frac{\log x}{x^\varepsilon}\right) = \frac{1}{1-\varepsilon}.$$

Now we take the limit $\varepsilon \searrow 0$ to conclude

$$\limsup_{x\to\infty} \frac{\pi(x)\log x}{x} \leqslant 1.$$

Personally, I prefer leaving the $\varepsilon$ out, and arguing

$$\begin{align} \pi(x) &= \pi(y) + \sum_{y < p \leqslant x} 1\\ &\leqslant \pi(y) + \sum_{y < p \leqslant x}\frac{\log p}{\log y}\\ &\leqslant y + \frac{1}{\log y}\vartheta(x)\\ \Rightarrow \frac{\pi(x)\log x}{x} &\leqslant \frac{y\log x}{x} + \frac{\log x}{\log y}\cdot \frac{\vartheta(x)}{x} \end{align}$$

for $1 < y < x$, and then choosing (for $x \geqslant 3$) $y = \dfrac{x}{(\log x)^2}$ to get

$$\frac{\vartheta(x)}{x} \leqslant \frac{\pi(x)\log x}{x} \leqslant \frac{1}{\log x} + \frac{\log x}{\log x - 2 \log \log x}\cdot \frac{\vartheta(x)}{x}.$$

Daniel Fischer
  • 211,575
  • Thank you so much dear Daniel for such explanation. Almost everything is clear up to this step but I again have trouble with the end of the 4th step of this proof. where he says, "The final sum converges for ......." onward till the end of this part. and especially last three lines of 4th part. Please give me some explanation about this part. I will be very thankful to you. – Sara Tancredi Aug 14 '13 at 15:54
  • I'm now off to dinner, will see what I can do after that, maybe around two hours. – Daniel Fischer Aug 14 '13 at 16:01
  • 2
    Holy wow. MathJax just took 10 minutes to render the post. Anyway, added an explanation of step $IV$, hope that clarifies it. – Daniel Fischer Aug 14 '13 at 19:40
  • WOW You explained it so beautifully and exhaustively let me grasp it now. Thanks a lot Daniel. :) – Sara Tancredi Aug 14 '13 at 20:28
  • hi Daniel I understood everything except one thing. How in the end of the last line of part6 he put $\Bbb O(x^{1-\epsilon})$ on the place of $-\pi(x^{1-\epsilon})$. I also want to tell you that in the last line there is a typo: on the place of limit xx it should be x. – Sara Tancredi Aug 15 '13 at 05:05
  • Now i added it in the end of the theorem please check it and add to make it rigorous. thank you so much for your precious time. – Sara Tancredi Aug 15 '13 at 05:28
  • I've expanded on the last part, hope that clarifies it. – Daniel Fischer Aug 15 '13 at 10:07
  • 1
    Wow you explained it very well. Your version is more cool. I really like it. It is so simple and beautiful. This proof of PNT is so concrete. Zagier is a mathematician from Max- Planck Institute. His way of writing is more precise and compact than of Rudin's. Must be a great mathematician:) It was a nice experience to understand this proof. I don't have words to thank you. I truly appreciate your spirit of helping. – Sara Tancredi Aug 15 '13 at 15:01