The following formula is given as "the familiar arc-cosine form" by Joos, in his Theoretical Physics. The German language original has $e$ in place of $h$.
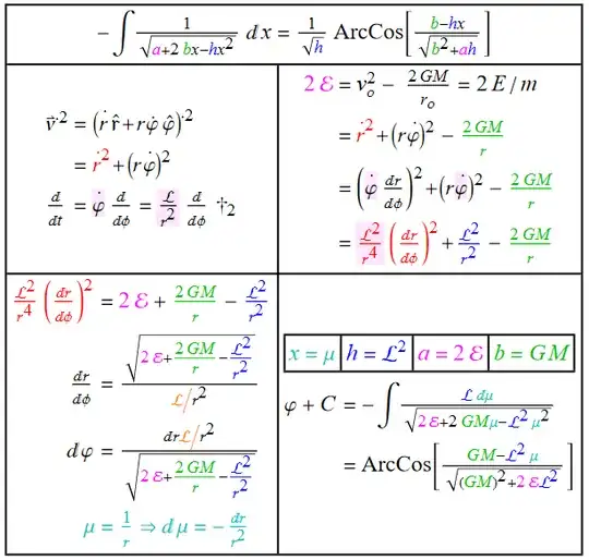
$$-\int\frac{1}{\sqrt{a+2bx-hx^{2}}}dx=\frac{1}{\sqrt{h}}\arccos\left(\frac{b-hx}{\sqrt{b^{2}+ah}}\right)$$
The identity is used in the derivation of Kepler's laws. I have a couple of ways of deriving it. One of which is included as a screen-scrape.
Often such a "cookbook" formula is the product of a "standard recipe" in which the constants $a,b,h$ or $a,b,e$ have a meaning. Since this identity involves trigonometry, I am inclined to believe there is some geometric interpretation that would make the expression seem less mysterious. In particular, I am interested in a method that shows how it related to an ellipse, or a general second degree curve.
Is there a compelling geometric interpretation of the above integral formula?
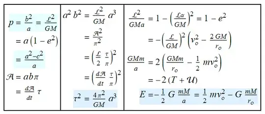
All of the following is simply context, to show how the identity us used in treating the Kepler problem. The derivations are based on what is given by Joos. My derivation used a unit mass for most of the calculation. That is, for example, angular momentum becomes $\frac{\mathfrak{L}}{m}:=\vec{\mathcal{L}}.$
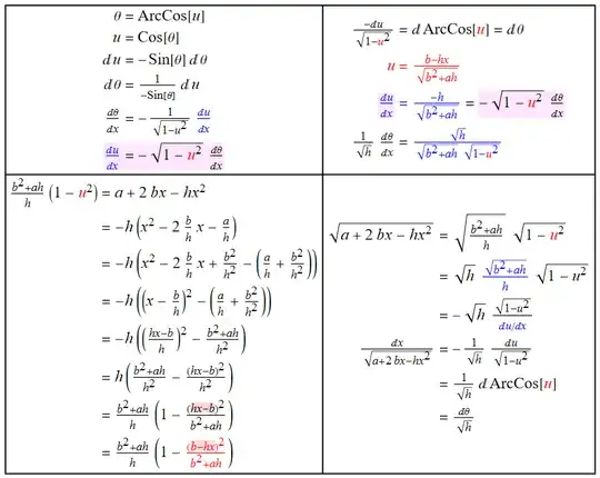
One method of producing the formula in question:
Read the right-hand side of equation in the lower left box from bottom to top. This is a result of an answer to a question about the same formula asked over six years ago.Deriving the (un)familiar arc-cosine integral identity
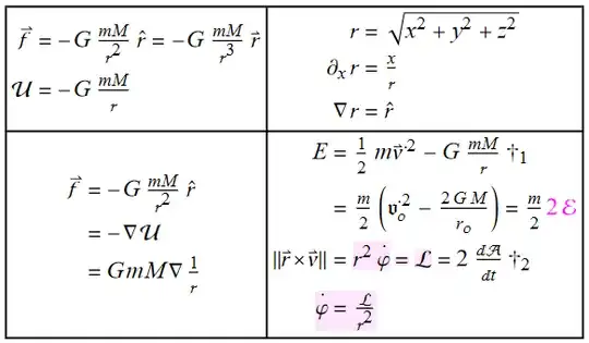
The setup of the Kepler problem:
We assert the central force law of areas (Kepler's second law) as given.
$\dagger_1$ Conservation of energy. $\dagger_2$ Central force law of areas.
Putting the Kepler problem in the advertised form:
Integrating to obtain the expression for an elliptical orbit (Kepler's first law):
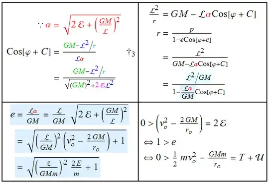
Obtaining the relationship of time to the semi-major axis (Kepler's third law):
Discussion of Quanto's answer(see my "answer" I can't get the image to display when added here)
The filled region (blue $\cup$ gray) is
$$2\int_{-p}^{s}\sqrt{1-\frac{x^{2}}{p^{2}}}dx.$$
The gray triangle is
$$s\sqrt{1-\frac{s^{2}}{p^{2}}}.$$
Figuring out how to illustrate the second part may take a bit more time.







