5

I'm trying to prove the following result:

Let $h: [a,b] \rightarrow [a,b]$ be a monotonic decreasing function and given $x \in [a,b]$ we define the sequence $$\begin{align*} y_{0,x} & = x\newline y_{n+1,x} & = h(y_{n,x}), \forall n>1 \end{align*}$$ Then, $\{y_{n,x}\}_{n=0}^\infty$ is convergent for every $x \in [a,b]$ iff every point of period $2$ of $h$ is, in fact, a fixed point.

I've managed to prove that if every sequence of that type is convergent, then every point of period $2$ is a fixed point (in fact, you don't even need to assume that $h$ is decreasing). My problem is with the reciprocal.

I've proven that for any $x \in [a,b]$ the subsequences $x_n=y_{2n,x}$ and $z_n=y_{2n+1,x}$ are always increasing and decreasing respectively (or vice versa). As they are bounded, because they are contained in the interval $[a,b]$, this proves that both of them are convergent.

Now, if $h$ was continuous, then it is easy to see (using now that every point of period $2$ of $h$ is fixed) that both limits are equal, and so, that the sequence $y_{n,x}$ converges.

My doubt is then if this result is still true without the condition that $h$ is continuous. I cannot prove without this condition, but I also cannot give any counterexample, so any help would be appreciated.

Apass.Jack
  • 13,509
Eparoh
  • 1,507

1 Answers1

4

It is not true that if every point of period $2$ of $h$ is a fixed point, then $\{y_{n,x}\}_{n=0}^\infty$ is convergent for every $x \in [a,b]$.

Here is a counterexample.

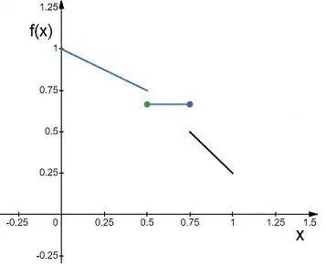
$\quad$enter image description here

Let $f:[0,1]\to[0,1]$, \begin{array}{crcl} f: &[0,1] &\to &[0,1]\\ &x &\mapsto &1-\frac x2 &\text{if } x<\frac12\\ &x &\mapsto &\frac 23 &\text{if } \frac12\le x\le\frac34\\ &x &\mapsto &\frac54-x &\text{if } \frac34< x\\ \end{array}

The only periodical point of $f(x)$ is $x=\frac23$ with $f(\frac23)=\frac23$.

If $x=y_{0,x}=0$, then $y_{2n+1,x}=\frac34+\frac1{2^{n+2}}$ and $y_{2n,x}=\frac12-\frac1{2^{n+1}} $ for all $n\ge0$. $$\lim_{n\to\infty}y_{2n,x}=\frac12\not=\frac34=\lim_{n\to\infty}y_{2n+1,x}$$

Hence $f$ is a counterexample.


Let $g(x):[0,1]\to[0,1]$ be the same as $f(x)$ except for $\frac12\le x\le\frac34$, $g(x)=\frac23-\frac13(x-\frac23)=\frac89-\frac x3$.

What have been said above about $f$ also holds for $g$. In particular, $g$ is also a counterexample. (As mentioned by OP, neither $f$ nor $g$ can be continuous. In fact, both are discontinuous at $x=\frac12$ and $x=\frac34$.)

Note that while $f$ is weakly decreasing, $g$ is strictly decreasing.

Apass.Jack
  • 13,509