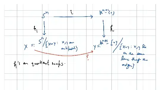
Background: $Y$ turns out to be projective space but I'm trying to prove this and have not proven it yet (i.e., $Y$ is homeomorphic to the space $X$ obtained by identifying antipodal points on the unit $n-$ sphere.)
One of the steps in proving the homeomorphism is to prove that $Y$ is Hausdorff. I am having difficulty in a step in showing the Hausdorffness of Y. I'm trying to use this solution https://math.stackexchange.com/a/241786/266435 in this case.
Let $p_2: \mathbb R^{n+1}-\{0\}\to Y: x\to [x]$ be the quotient map.
Suppose that $[x], [y]\in Y, [x]\ne [y], [l]$ denotes equivalence class of $l$. It follows that $p(x)=[x], p(y)=[y]$. Since $[x]\ne [y]$, it follows that $x\ne my$ for any $m\in \mathbb R-\{0\}$. (i.e., $x$ and $y$ cannot lies on the same line through the 'removed' origin.) $\mathbb R^{n+1}-\{0\}$ is Hausdorff so there exist $U, V$ disjoint open in $\mathbb R^{n+1}-\{0\}$ such that $x\in U, y\in V$.
Now, the following two things are to be shown:
- $p(U), p(V)$ are open.
- $p(U)\cap p(V)=\emptyset$
I have tried to show that 2) is true as follows: Suppose on the contrary that $p(U)\cap p(V)\ne\emptyset$. There exists $t\in p(U)\cap p(V)$. There exist $u\in U, v\in V$ such that $t=p(u)=p(v)\implies u=mv$ for some non zero real no. $m.\implies u,v$ lie on the same straight line through the origin. This contradicts the fact that $U, V$ are disjoint and that $U,V$ is 'centered' at different lines. But in view of red line in picture no. 2) in the picture below, this seems wrong.

About $(1)$, I tried to use the definition of quotient maps: $p_2(U)$ is open iff $p_2^{-1}(p_2(U))$ is open. But since $p_2^{-1}(p_2(U))\ne U$, I'm not sure how to do this either.
I tried to show the homeomorphism using the following picture:

Here, if I show that $Y$ is Hausdorff, then the induced map $p_2\circ i: S^n\to Y$ due to being onto continuous from compact $S^n$ to Hausdorff $Y$ will turn out to be a quotient map. This quotient map partitions $S^n$ into equivalence classes of antipodal points, so by the property of quotient maps, it follows that $X$ is homeomorphic to $Y$. But here the problem is in proving that $Y$ is Hausdorff, and this is what led me to ask this question.
Please advise. Thanks a lot.