1

I would like to know if there might be a connection between the following inverse Fourier transform (with some physics conventions): $$f(t) = \int_{-\infty}^\infty d\omega e^{i\omega t}\frac{1}{ib|\omega|^a - \omega},$$ where $a, b > 0$. I was wondering if the function $f$ could be represented in terms of some hypergeometric function or Mittag-Lefler function or Fox-Wright function (or something else). Any suggestions in how to tackle this problem?

EDIT: I asked ChatGPT if this integral could be represented in terms of a Fox-H function and it gave the answer that this is indeed possible: $$f(t) = t^{1-a}H(1,1;1+a;b|t^a|), $$ I am not sure how to write this better but I hope it is clear what is meant by this. I asked for a source or a reference that does something similar but it couldn't give me one. I have no idea how to even start checking if this is correct. Furthermore, I asked if this could be represented in terms of a Mittag-Leffler function and it gave me this $$f(t) = \frac{t^{1-a}}{a}E_{1,1+a}(- bt^a).$$ I know for sure some stuff is wrong since clearly $f(t)$ is purely imaginary but at least the Mittag-Leffler form is not. However, I have a feeling that it should be possible. I have no idea how to even start proving this, does someone maybe have an example on how to work with Fox-H functions since the sources that I found only just state results but don't show how they got it. Thanks!

Audrique
  • 121
  • Are you trying to solve fractional advection-diffusion equation with Riesz derivatives? The integral definitely looks similar to the Mittag-Leffler function (https://arxiv.org/pdf/0909.0230.pdf#page=7), but $|\omega|$ prevents finding an easy analytical solution. People usually solve these kind of problems numerically, AFAICT. – Answer Provider Jan 21 '23 at 01:34
  • It has to do with solving the langevin equation with riesz derivatives. The goal of this project was to study this analytically. However, I will probably end up studying it also numeically. – Audrique Jan 21 '23 at 10:25

1 Answers1

3

This can be solved through Mellin transforms.

Preliminaries. We will need two known transforms:

$$ \int_0^{+\infty} t^{s-1} e^{i\omega t - \delta|\omega t|} dt = (\delta|\omega| - i\omega )^{-s}\Gamma(s), \\ \mathrm{Re}\,s > 0, \delta > 0,\omega \in \mathbb{R},$$ and $$ \int_0^{+\infty} \frac{\omega^{s'-1}}{1 + c \omega^{\alpha}} d\omega = \frac{1}{|\alpha|} c^{-\frac{s'}{\alpha}} \Gamma\left(\frac{s'}{\alpha}\right) \Gamma\left(1-\frac{s'}{\alpha}\right),\\ 0 < \mathrm{Re}\,\frac{s'}{\alpha} < 1,\ \alpha \in \mathbb{R},\ \alpha \neq 0,\ c\ \notin (-\infty, 0]. $$ They can be easily deduced from the definitions of the gamma and beta functions or found in tables of transforms, such as those from the Bateman Manuscript Project.

Step 1. Regularize the original integral near zero (there is a pole if $a > 1$) and at infinity (we would like to have absolute convergence to make sure that we can reorder integrations):

\begin{align} f(t) \quad &= \lim_{\substack{\delta \rightarrow 0^{+}\\ \epsilon\,\mathrm{sgn}(a - 1) \rightarrow 0^{+}}} f_{\delta\epsilon}(t),\\ f_{\delta\epsilon}(t) \quad &= \quad \int_{- \infty}^{+ \infty} d \omega e^{i\omega t - \delta|\omega t|} \frac{|\omega|^\epsilon}{i b | \omega |^a - \omega},\\ a \in \mathbb{R},\ a \neq 1,\ \mathrm{Re}\ b &\neq 0,\ \delta > 0,\ \min(0, a - 1) < \epsilon < \max(0, a - 1). \end{align}

The particular choice of regularization is dictated by the desire to find the Mellin transform in closed form.

Step 2. Take Mellin transform:

\begin{align} F_{\delta\epsilon}(s) &= \int_0^{\infty} f_{\delta\epsilon}(t) t^{s - 1} dt = \Gamma (s) \int_{- \infty}^{+ \infty} d \omega \frac{|\omega|^\epsilon}{i b | \omega |^a - \omega} (\delta|\omega| - i\omega )^{-s} \\ &= \frac{1}{|a - 1|} \left[ (\delta + i)^{- s} (i b)^{\frac{s - \epsilon}{a - 1}} - (\delta - i)^{- s} (- i b)^{\frac{s - \epsilon}{a - 1}} \right]\\ &\times \Gamma (s) \Gamma \left( - \frac{s - \epsilon}{a - 1} \right) \Gamma \left( 1 + \frac{s - \epsilon}{a - 1} \right). \end{align}

The double integral over $t$ and $\omega$ converges absolutely within the fundamental strip $0 < \mathrm{Re}\, s < \epsilon + 1 - a$ if $a < 1$ and $0 < \mathrm{Re}\, s < \epsilon$ if $a > 1$. You can verify it by removing $e^{i\omega t}$ and replacing the denominator with $|\omega|^a + |\omega|$.

Step 2.5. Take the limit $\delta \rightarrow 0^{+}$ (assuming $\mathrm{Re}\,b > 0$):

$$ F_{\epsilon}(s) = - \frac{2 i}{| a - 1 |} b^{\frac{s - \epsilon}{a - 1}} \sin \left[ \frac{\pi}{2} \left( s + \frac{s - \epsilon}{1 - a} \right) \right] \Gamma (s) \Gamma \left( \frac{s - \epsilon}{1 - a} \right) \Gamma \left( 1 - \frac{s - \epsilon}{1 - a} \right). $$

Extra precautions needed with $\epsilon$, because the fundamental strip vanishes in the $\epsilon \rightarrow 0$ limit if $a > 1$ due to the pole at $s = \epsilon$. If an integration contour crosses this pole when taking the limit $\epsilon \rightarrow 0$, the corresponding residue ($\pi i$) has to be subtracted. We will do it for the inverse Mellin transform.

Keeping this in mind, we can set $\epsilon$ to zero too: $$ F(s) = - \frac{2 i}{| a - 1 |} b^{\frac{s}{a - 1}} \sin \left(\frac{\pi}{2}\frac{2 - a}{1 - a}s \right) \Gamma (s) \Gamma \left( \frac{s}{1 - a} \right) \Gamma \left( 1 - \frac{s }{1 - a} \right). $$

Step 3. Apply the identity $\frac{\pi}{\sin(\pi z)} = \Gamma(z) \Gamma(1-z)$ and its corollary $\Gamma(z) \Gamma(1-z) = -\Gamma(-z) \Gamma(1+z)$: $$ F(s) = \frac{2 \pi i}{ |a - 1| }\mathrm{sgn}(a-2) b^{\frac{s }{a - 1}} \Gamma (s) \frac{\Gamma \left( \frac{s}{|a - 1|} \right) \Gamma \left( 1 - \frac{s}{|a - 1|} \right)}{\Gamma \left( \frac{1}{2} \left|\frac{2-a}{a-1}\right| s \right) \Gamma \left( 1 - \frac{1}{2} \left|\frac{2-a}{a-1}\right| s \right)}. $$ We need this particular choice of signs in the gamma functions to be able to choose an integration path consistent with the definition of the Fox H-function.

Step 4. Take inverse Mellin transform: \begin{align} & f(t) = \frac{1}{2 \pi i} \int_{c - i \infty}^{c + i \infty} t^{- s} F (s) d s -\pi i\, \theta(a - 1) = \frac{1}{2 \pi i} \int_{- c - i \infty}^{- c + i \infty} t^s F (- s) d s -\pi i\, \theta(a - 1)\\ &= \frac{2 \pi i\, \mathrm{sgn} (a - 2)}{|a - 1|} H^{21}_{23} \left( b^{\frac{1}{1 - a}} t\ \middle| \begin{array}{ccc} & \left( 0, \frac{1}{| a - 1 |} \right) & \left( 0, \frac{1}{2} \left| \frac{2 - a}{a - 1} \right| \right)\\ (0, 1) & \left( 0, \frac{1}{| a - 1 |} \right) & \left( 0, \frac{1}{2} \left| \frac{2 - a}{a - 1} \right| \right) \end{array} \right) -\pi i\, \theta(a - 1) \end{align}

(by definition of the Fox function, assuming positive real $b$).

If $c$ is chosen between $0$ and $|a - 1|$, integration path stays within the fundamental strip in the $\epsilon \rightarrow 0$ limit if $a < 1$ and crosses a pole at $s = \epsilon$ if $a > 1$. The residue at this pole provides the last term.

Swapping integration with $\lim$ can be justified by the dominated convergence theorem. For example, at $\mathrm{Im}\,s \rightarrow \infty$ $|F_{\delta\epsilon}(s)| < \mathrm{const} \times e^{- \frac{1}{2} \left| \arg (- b^2) \frac{\mathrm{Im}\,s}{a - 1} \right|}$ for any sufficiently small $\delta, \epsilon$ within the allowed range.

Step 5. Repeat for $t<0$ (equivalent to $b < 0$ because $f(-t; b) = - f(t; -b)$): \begin{align} f(t) = - \frac{2 \pi i\, \mathrm{sgn} (a)}{|a - 1|} H^{21}_{23} \left( b^{\frac{1}{1 - a}} |t|\ \middle| \begin{array}{ccc} & \left( 0, \frac{1}{| a - 1 |} \right) & \left( 0, \frac{1}{2} \left| \frac{a}{a - 1} \right| \right)\\ (0, 1) & \left( 0, \frac{1}{| a - 1 |} \right) & \left( 0, \frac{1}{2} \left| \frac{a}{a - 1} \right| \right) \end{array} \right) + \pi i\, \theta(a - 1) \end{align}

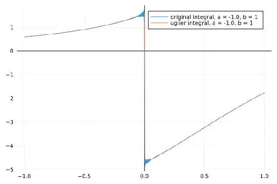
Step 6. Check numerically.

Original vs transformed

You can find alternative expressions by a change of variables $t' = t^{|a - 1|}$ or by rewriting sine through exponentials instead of gamma functions.

This idea has been applied by Schneider to a similar problem involving $e^{-|\omega|^a}$ in the context of stable distributions. A few more relevant references here.

Answer Provider
  • 416
  • 2
  • 3