4

In Landau's Mechanics, there is a special trick for determining the potential energy from the period of oscillation.

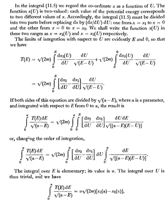
Landau calculates the integral $\int_0^\alpha \frac{T(E) dE}{\sqrt{\alpha - E}}$ and then changes the order of integration, reducing the integral to $\pi\sqrt{2m} [x_2(\alpha)-x_1(\alpha)]$(You may refer to Landau's book for more details)

enter image description here

enter image description here

But why? Why should I consider the integral $\int_0^\alpha \frac{T(E) dE}{\sqrt{\alpha - E}}$. Is it just a trick? What's the motivation? Is there any deeper theory behind the trick?

2 Answers2

4

The calculation boils down to finding a solution to an integral equation of the form $$ T(E) = \int \limits_0^E \frac{f(U)}{\sqrt{E-U}} \, \mathrm{d} U \, . \tag{1}$$ This equation is called Abel integral equation, since it was (according to e.g. Kress, 'Linear Integral Equations') first considered and solved by Abel in 1823 in the context of a closely related mechanical problem.

In general, only a select few integral equations can be solved by analytical solution methods (or 'tricks') and it is often unclear how their inventor came up with these (i.e. what the 'motivation' was). Here, the trick is to divide the right-hand side by $\sqrt{\alpha - E}$ and integrate. This works because of the crucial observation that (by virtue of the substitution $x = (E - U)/(\alpha - U)$) the integral $$ \int \limits_U^\alpha \frac{\mathrm{d} E}{\sqrt{(\alpha - E)(E-U)}} = \int \limits_0^1 \frac{\mathrm{d} x}{\sqrt{(1-x)x}} = \pi $$ is independent of $\alpha$ and $U$. Therefore, we obtain the solution $$ f(\alpha) = \frac{1}{\pi} \frac{\mathrm{d}}{\mathrm{d} \alpha} \int \limits_0^\alpha \frac{T(E)}{\sqrt{\alpha - E}} \, \mathrm{d} E \tag{2} $$ (in our case we do not need to take the derivative here, since we are interested in the integral of $f$ anyway). Note that a slight modification of this method can be used to solve the generalised Abel equation $$ T(E) = \int \limits_0^E \frac{f(U)}{(E-U)^\gamma} \, \mathrm{d} U $$ with $\gamma \in (0,1)$.

As for a 'deeper theory' behind this idea, there is a close connection between these integral equations and fractional calculus (which was in part also developed by Abel): $(1)$ means that $T$ is the half-integral of $f$, so the solution $(2)$ for $f$ is found by taking the half-derivative of $T$ (up to constant factors of $\sqrt{\pi}$).

  • I just visited the Wikipedia link in your post and found fractional calculus really cool. Which book can I refer to if I want to gain a deeper understanding of this interesting stuff? – Jason Chen Jan 05 '23 at 04:09
  • 1
    @Aboyplayingontheseashore I haven't got any personal recommendations, since I've never studied the subject in detail myself, but some references are dicussed in this question. You can also find many interesting ideas on the topic in this post. The book by Oldham and Spanier is mentioned in both discussions and seems to be a great introduction. – ComplexYetTrivial Jan 05 '23 at 12:46
1

No, there is no special trick.

I will try to explain Landau's calculation as simply as possible.

The original equation can be presented in a simplified form as follows

$$T(E)=\frac{1}{\pi}\int_{0}^{E}\frac{x'(U)dU}{\sqrt{E-U}}$$

where $x(U)$ is unknown function to be found.

So this is an integral equation with known $T(E)$

$x(U)$ is the inverse function of the potential energy $U(x)$ and $x'(U)$ is the derivative with respect to $U$.

I ignore unimportant constants to highlight functional dependencies.

Landau gets the following solution (simplified form)

$$x(U)=\int_{0}^{U}\frac{T(E)dE}{\sqrt{U-E}}$$

Now I have to say that I really don't like the solution given in the book.

(That's just my problem, of course).

I think it's a little easier to solve the opposite problem.

This means to proceed from the last equation with known $x(U)$ and unknown $T(E)$.

The result is the first equation from above.

Multiply the last equation with

$$\frac{1}{\sqrt{\alpha-U}}$$

and integrate by $U$ from $0$ to $\alpha $

$$\int_{0}^{\alpha}\frac{x(U)dU}{\sqrt{\alpha-U}}=\int_{0}^{\alpha}\frac{dU}{\sqrt{\alpha-U}}\int_{0}^{U}\frac{T(E)dE}{\sqrt{U-E}}$$

Now using multivariable calculus i can show that

$$\int_{0}^{\alpha}\frac{dU}{\sqrt{\alpha-U}}\int_{0}^{U}\frac{T(E)dE}{\sqrt{U-E}}=\pi\int_{0}^{\alpha}T(E)dE$$

(Because I don't like long posts, I only bring this proof if someone wants it).

Thus we arrive at

$$\int_{0}^{\alpha}\frac{x(U)dU}{\sqrt{\alpha-U}}=\pi\int_{0}^{\alpha}T(E)dE$$

The last step is to differentiate the last equation with respect to $\alpha$, take into account that $x(0)=0$ and in the final expression replace $\alpha$ with $E$.

The result will be the first equation from above.

The given solution seems to be longer than the one given in the book, but to be honest, I don't understand Landau's solution well either.

Martin Gales
  • 7,927