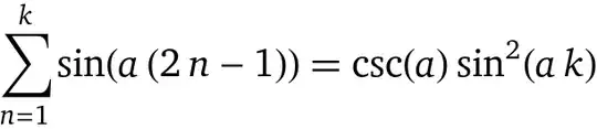
So I've been trying to work out this sum for quite a while:

WolframAlpha unfortunately won't supply step by step proofs for this for some reason...
As for how i tried to prove this:
I looked at sin((2n-1)*a) as the imaginary part of cis((2n-1)a), which is a geometric series (a_n = a_1q^(n-1), where a_1 = cis(a) and q=cis(2a)), therefore its sum from n=1 to n=k should be:

Meaning the sum is:
(Note: I used De Moivre's Theorem to put the n power inside the cis)
But no matter how i tried continuing from here i always arrived at a huge trigonometric expression which i did not see how it (the imaginary part) could become what WolframAlpha is saying it is...
Any directions/solutions would be appreciated. Thanks