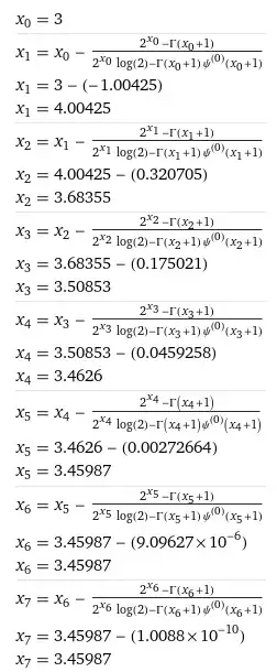
I was trying to solve the equation for $x!=2^x$, where $x\ge0$.
I plotted it on Desmos and found two solutions for the same.
Attaching image for reference. Graph plot of $2^x$ and $x!$
As per the plot, there are two solutions for the equation. But I am only able to derive the solution $x=0$. (Through observation and guesswork).
How can the second solution be derived ($x\approx3.46$)?
I couldn't figure it out!
It looks so simple, yet its quite a bummer actually(at least for me).
Can someone please help regarding the same?
Thanks in advance!

