1

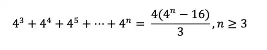
enter image description here For this one, the idea is to assume that it is first true for $$n=3$$ and then get $$4^3 = \frac{4(4^{n} - 16)}{3}$$ and then assume that it is true for $$n=k$$, where k is a natural number, whereby we get $$4^k = \frac{4(4^{k} - 16)}{3}$$, and then for $$n = k+1$$ and then get $$4^{k+1} = \frac{4(4^{k+1}-16)}{3}$$. Then we get $$4^{k+1}=4^{k}\times 4$$ which therefore becomes $$4\left( \frac{4\left( 4^{k}-16\right) }{3 } \right) =4\times 4^{k}$$.

Is this good?

  • 4
    It might help if you stated what you were trying to prove. $4^k = \frac{4(4^{k} - 16)}{3}$ is not correct – Henry Oct 14 '22 at 14:17
  • What is the question? – insipidintegrator Oct 14 '22 at 14:27
  • When attempting to prove something in induction... when building your induction step you should start with the LHS, then through a chain of equalities (in the middle of which one of the equalities will depend on the induction hypothesis) eventually show it reaches the RHS of what you wanted. Do not start with what you hope to be true as your first step. Read more on how to properly format such a proof Proof writing: how to write a clear induction proof – JMoravitz Oct 14 '22 at 14:28
  • In any event, you have not in your attempt successfully shown that the LHS of what you want is actually equal to the RHS of what you want... and you will not be able to if we are correct in what it is you are attempting to do. It may have been true that $4^3$ happens to equal $\frac{4\cdot (4^3-16)}{3}$ but it is blatantly false that $4^4=256$ would be equal to $\frac{4\cdot(4^4-16)}{3}=320$. Perhaps you might be trying to prove something else? Maybe something without an equals sign but instead an inequality? – JMoravitz Oct 14 '22 at 14:30
  • Now that you have included an image... we see that you are asking about a summation. Where in your attempt have you shown anything involving a summation? You talk about "it being true for $k$"... the LHS should have been $(4^3+4^4+4^5+\dots+4^k)$ including everything from the first term and onwards, not just the final term. – JMoravitz Oct 14 '22 at 15:00
  • @JMoravitz So the ellipis will be included when youo're proving for n = 3, n = k, and n = k+1? – bittscoterie Oct 14 '22 at 15:17
  • Yes... of course. The statement is that $4^3 = \dfrac{4(4^3-16)}{3}$, that $4^3+4^4 = \dfrac{4(4^4-16)}{3}$, that $4^3+4^4+4^5 = \dfrac{4(4^5-16)}{3}$, that $4^3+4^4+4^5+4^6 = \dfrac{4(4^6-16)}{3}$ and so on... that the sum of all terms from $4^3$ on up to $4^k$ will be $\sum\limits_{i=3}^k 4^i = \dfrac{4(4^k-16)}{3}$ – JMoravitz Oct 14 '22 at 16:52

0 Answers0