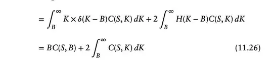
Need some help in understanding the author's simplification here (from Emanuel Derman's The Volality Smile). The equation is set to $V(S, t)$, which represents the value of a derivative security at time $t$ with the asset at price $S$. See below:

Here, $B$ is a constant and $B>0$, $\delta(\cdot)$ is the Dirac delta function, $C(S, K)$ is the price of a call option with an underlying asset at price $S$ with strike $K$, and $H(\cdot)$ is the Heaviside function.
I believe he simplifies the second term of the equation using the fact that the lower bound begins at $B$ and therefore the Heaviside function will always be 1 when integrating over $K$(though do please let me know if that is incorrect). However, I really am not quite sure where to begin on the first integral. I know there are some tricks when integrating over the Dirac delta function, but I'm not sure it applies in this case given the bounds of the integral.
If anyone has a few moments to look into this I would very thankful!