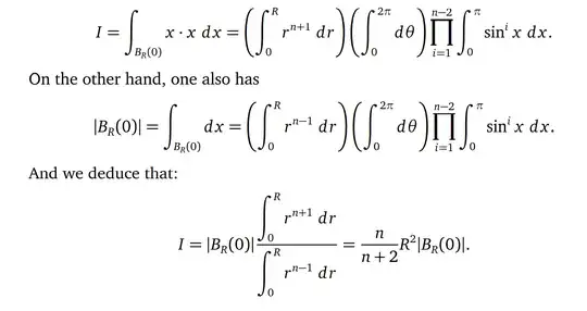
the first integration I want to understand why it looks like this:
And the first answer here Using the divergence theorem to prove that $\frac{1}{|B_R(0)|} \int_{B_R(0)} M \textbf{y} . \textbf{y} dy = \frac{R^2}{ n + 2} \text{trace}(M)$ suggested that the author was trying to show (inside the solution) the detailed proof of that the area of $n$-sphere of radius $R$ is $R^{n-1}$ times the area of the unit sphere, I do not understand where is this proof actually, could someone clarify this to me please?
