2

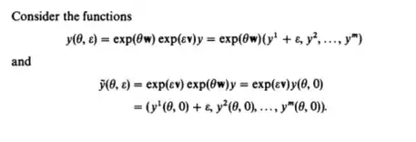
I don't quite understand the proof of one of the theorems from the Peter J. Olver's book Applications of Lie groups to differential equations (2e) :

enter image description here enter image description here enter image description here

I don't understand why $U$ is open. It is clear for me why the set $$ \hat W=\{ (\theta,\varepsilon):\; y(\theta,\varepsilon)=\tilde y(\theta,\varepsilon) \} $$ is open. Does it coincide with the set $\hat U$? If yes, why? Proposition 1.29 mentioned in the text asserts only the local existence of coordinates in which the vector field $\mathbf v$ is rectifiable. How do we know that the corresponding change of variables is valid for the entire set $\hat W$? If we do not know this, and $\hat W\ne \hat U$, then, apparently, the "rectifiability set" of the vector field $\mathbf v$ must be open. But why?

Alp Uzman
  • 12,209
AVK
  • 5,333

1 Answers1

1

It seems the main confusion is due to the way the theorem is phrased; below I'll paraphrase it in a slightly more rigorous way, which I hope will clarify the broader issue. But before that, shortly:

Does [$\hat{W}$] coincide with the set $\hat U$?

No, strictly speaking: For $\hat{U}$ one fixes the basepoint $x$, for $\hat{W}$ any anonymous point $y$ close enough to $x$ ought to work.

Proposition 1.29 mentioned in the text asserts only the local existence of coordinates in which the vector field $\mathbf v$ is rectifiable. How do we know that the corresponding change of variables is valid for the entire set $\hat W$?

You are right that we don't have global (in time) flowboxes necessarily. (e.g. consider the $2$-torus $M=\mathbb{T}^2$ and vertical and horizontal flows on $M$; see e.g. Dynamics on the torus)

If we do not know this, and $\hat W\ne \hat U$, then, apparently, the "rectifiability set" of the vector field $\mathbf v$ must be open. But why?

Even though $\hat{W}$ is not quite the same as $\hat{U}$, it is likely that the openness of $\hat{U}$ is justified in a way similar to the way that makes it clear to you $\hat{W}$ is open.


Before paraphrasing the theorem here is some background and notation. Let $M$ be a $C^\infty$ manifold, $r\in\mathbb{Z}_{\geq1}\cup\{\infty\}$, $X$ be a $C^r$ vector field on $M$. Then by the Existence and Uniqueness Theorem for ODE's, there is an open subset $\mathfrak{D}(X)\subseteq \mathbb{R}\times M$ containing $\{0\}\times M$ and a $C^r$ local group action of $\mathbb{R}$

$$\phi:\mathfrak{D}(X)\to M, (t,p)\mapsto \phi_t(p)$$

with the following properties:

  1. For any $ p\in M$, $t\mapsto \phi_t(p)$ is the unique solution of the initial value problem $\phi_0(p)=p,\,\, \left.\dfrac{\partial \phi}{\partial t}\right|_{t=0}(t,p)=X(p)$.

  2. For any $p\in M$, $J_p^X = \{t\in\mathbb{R}\,|\, (t,p)\in \mathfrak{D}(X)\}$ $=\operatorname{proj}_{\mathbb{R}}(\mathfrak{D}(X)\,\,\cap \,\,\mathbb{R}\times\{p\})$ is an open interval (which is possibly unbounded),

  3. For any $t\in \mathbb{R}$, $M_t^X = \{p\in M\,|\, (t,p)\in\mathfrak{D}(X)\}$ $= \operatorname{proj}_{M}(\mathfrak{D}(X)\,\,\cap\,\, \{t\}\times M)$ is an open subset,

Here $\phi$ is the local flow of $X$, $X$ is the infinitesimal generator of $\phi$, and $\mathfrak{D}(X)$ is the domain of definition of $\phi$ (or of $X$, somewhat misleadingly). ("local group action" means that the group property is satisfied within the confines of the domain of definition.)


Let me now rephrase the theorem and part of the proof. The main idea is that two local flows commute iff they commute infinitesimally.

Theorem: Let $M$ be a $C^\infty$ manifold, $X,Y$ be $C^2$ ($\dagger$) vector fields on $M$. Denote by $\phi$ and $\psi$ the local flows of $X$ and $Y$, respectively. Then the following are equivalent:

  1. For any $p\in M$, there is an open connected subset $V_p\subseteq \mathbb{R}^2$ containing $(0,0)$ such that for any $(\epsilon,\eta)\in V_p$ we have $\phi_\epsilon\circ\psi_\eta(p)=\psi_\eta\circ\phi_\epsilon(p)$.

  2. $[X,Y]=0$.

($\dagger$) $C^{1,1}$, i.e. $C^1$ with first derivatives satisfying local Lipschitz estimates (see e.g. Definition of Hölder Space on Manifold), would be sufficient.

Preamble of Proof of (2.$\implies$1.): First we have partially defined functions (following the notation from Notation for "function from a subset of $X$ into $Y$"?)

$$L:\mathbb{R}\times \mathbb{R}\times M \rightsquigarrow M, (\epsilon,\eta,p)\mapsto \phi_\epsilon\circ \psi_\eta(p),$$

$$R:\mathbb{R}\times \mathbb{R}\times M \rightsquigarrow M, (\epsilon,\eta,p)\mapsto \psi_\eta\circ \phi_\epsilon(p).$$

Define for any $p\in M$,

$$B_p^{X,Y}=\{(\epsilon,\eta)\in\mathbb{R}^2\,|\, (\epsilon,\eta,p)\in\operatorname{dom}(L)\cap\operatorname{dom}(R)\} \, ( = \hat{V} \text{ in Olver's notation}),$$

$$A_p^{X,Y}=\{(\epsilon,\eta)\in B_p^{X,Y}\,|\, L(\epsilon,\eta,p)=R(\epsilon,\eta,p)\} \, ( = \hat{U} \text{ in Olver's notation}).$$

(It is perhaps good conceptually to assemble the $A_p^{X,Y}$'s: putting $\mathfrak{D}(X,Y)=\{(t,p)\in\mathbb{R}^2\times M\,|\, t=(t_1,t_2)\in A_p^{X,Y}\}$, we have a $C^r$ local group action of $\mathbb{R}^2$: $\mathfrak{D}(X,Y)\to M,\, (t,p)\mapsto \phi_{t_1}\circ \psi_{t_2}(p)$.)

Fix a basepoint $p\in M$. First note that $B_p^{X,Y}$ is open in $\mathbb{R}^2$. Indeed, by definition we have

\begin{align*} B_p^{X,Y} =&\{(\epsilon,\eta)\in\mathbb{R}^2\,|\, (\eta,p)\in\mathfrak{D}(Y), (\epsilon,\psi_\eta(p))\in \mathfrak{D}(X)\}\\ &\cap \{(\epsilon,\eta)\in\mathbb{R}^2\,|\, (\epsilon,p)\in\mathfrak{D}(X), (\eta,\phi_\epsilon(p))\in \mathfrak{D}(Y)\}\\ = & \left\{(\epsilon,\eta)\in\mathbb{R}^2\,\left|\, \eta\in J_p^Y, \epsilon\in J_{\psi_\eta(p)}^X\right\}\right.\\ &\cap \left\{(\epsilon,\eta)\in\mathbb{R}^2\,\left|\, \epsilon\in J_p^X, \eta\in J_{\phi_\epsilon(p)}^Y\right\}\right.. \end{align*}

Thus for $(\epsilon,\eta)\in B_p^{X,Y}$, since $\mathfrak{D}(X)$ is open in $\mathbb{R}\times M$, there is an open interval $I_1$ and an open subset $N\subseteq M$ such that $(\epsilon,\psi_\eta(p))\in I_1\times N\subseteq \mathfrak{D}(X)$. Since $\psi$ is continuous and $J_p^Y$ is an open interval there is an open interval $I_2\subseteq J_p^Y$ such that $\eta\in I_2$ and $\psi(I_2\times \{p\})\subseteq N$; whence $I_1\times I_2\ni (\epsilon,\eta)$ is included in the first set (which is the "$p$-slice" of $\operatorname{dom}(L)$) defining $B_p^{X,Y}$. A similar argument shows that the second defining set is also open, hence $B_p^{X,Y}$ is open in $\mathbb{R}^2$.

Define $C_p^{X,Y}$ ( = $V$ in Olver's notation) to be the connected component of $B_p^{X,Y}$ containing $(0,0)$. Then $C_p^{X,Y}$ is open both in $B_p^{X,Y}$ and $\mathbb{R}^2$ (see e.g. connected components of open sets are open). Say we could show that $A_p^{X,Y}$ is an open subset of $B_p^{X,Y}$ (or $\mathbb{R}^2$). Then $A_p^{X,Y}\cap C_p^{X,Y}$ (= $U$ is Olver's notation) would be an open subset of $C_p^{X,Y}$. By continuity of the local flows $\phi$ and $\psi$, $A_p^{X,Y}\cap C_p^{X,Y}$ is also closed in $C_p^{X,Y}$, thus $A_p^{X,Y}\cap C_p^{X,Y}= C_p^{X,Y}$, that is $A_p^{X,Y}\subseteq C_p^{X,Y}$; in particular $A_p^{X,Y}$ would be connected.

Thus it suffices to show that $A_p^{X,Y}$ is open; for this Olver assumes $[X,Y]=0$ (we didn't need to use this until now) and argues that two sides coinciding not only for the initial condition $p$ but everywhere in a local chart around $p$ is an open condition in the time space, that is, that $\hat{W}$ in your notation is open. Since you seem to have no trouble with this part I'll stop here; the idea is again to use the Existence and Uniqueness theorem.

Alp Uzman
  • 12,209
  • 1
    Yes, indeed. I got stuck because for some reason I thought that the rectifying change of variables is the same on the entire set, although it may be different at different points. So, we don't need $\hat W$ at all. Thank you for your response! – AVK Aug 17 '22 at 18:36