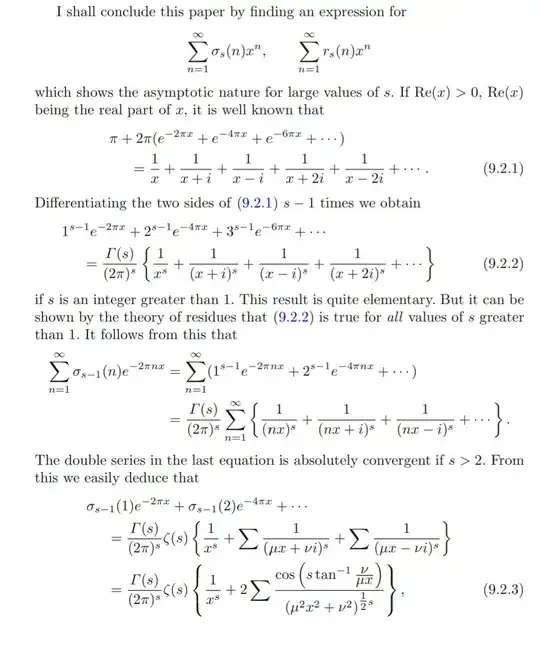
The following is a picture of equation from Ramanujan's lost notebook. In this page, Ramanujan gives a closed form for, $$\sum_{n\geq 1}\sigma_{s}(n)x^{n}$$
In an attempt initially it's claimed that,
$$\pi+2\pi\sum_{n\geq 1}e^{-2n\pi x}=\frac{1}{x}+\frac{1}{x+i}+\frac{1}{x-i}+\frac{1}{x+2i}+\frac{1}{x-2i}+ \cdots$$
I am not sure how to prove this. Moreover After EQ.$(9.2.2)$, he also claims the following fact, $$\sum_{n\geq 1}\sigma_{s-1}(n)e^{-2\pi nx}=\sum_{n\geq 1}\left(1^{s-1}e^{-2\pi nx}+2^{s-1}e^{-4\pi nx}+\cdots\right)$$
I am also unaware how to prove this?
All of my attempts were flawed and were not bearing something new, but rather bringing me where I started from. (Hence I am not mentioning them here).
