Clearly $e=\displaystyle \lim_{n \to+\infty}(1+\dfrac{1}{n})^{n}$.
Now consider $(1+\dfrac{x}{n})^{n}$. This can be written as $(1+\dfrac{1}{\frac{n}{x}})^{n}$ which is equal to
$[(1+\dfrac{1}{\frac{n}{x}})^\frac{n}{x}]^{x}$. Clearly the limit of the brackets is $e$, hence the limit is $e^{x}$. Setting $x=-1$ we get the required equality! i.e.
$\displaystyle \lim_{ x\to +\infty}(1-\dfrac{1}{x})^{x}=e^{-1}$.
As an answer to a comment I give a very simple proof that $\displaystyle \lim_{ n\to+\infty}(1+\dfrac{x}{n})^{n}=e^{x}$
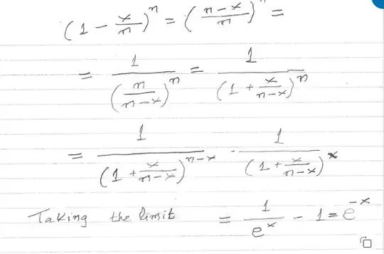
for ALL $x$ positive, negative or zero! Let $x>0$. Then, (sorry for not typing)
