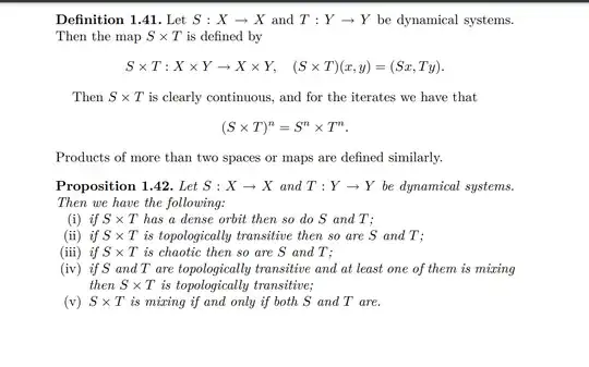
Could you please help me with the (iv) and (v) statements below, I don't have any idea how to prove them. These statements are from Grosse-Erdmann & Peris Manguillot's book Linear Chaos, p.17:
Thanks in advance.
Could you please help me with the (iv) and (v) statements below, I don't have any idea how to prove them. These statements are from Grosse-Erdmann & Peris Manguillot's book Linear Chaos, p.17:
Thanks in advance.
I prove (v).
Assume that $S$ et $T$ are mixing. We have to prove that for every non-empty open sets $U$ and $V$ in $X \times Y$, $(S \times T)^{-n}(U) \cap V$ is non-empty for all $n$ large enough.
One need only to check the result when $U = U_1 \times U_2$ and $V = V_1 \times V_2$ with $U_1,V_1$ non empty open sets in $X$ and $U_2,V_2$ non empty open sets in $Y$. Indeed these cartesian products for a basis of open sets in $X \times Y$.
In this case, $(S \times T)^{-n}(U) \cap V = (S^{-n}(U_1) \cap V_1) \times (T^{-n}(U_2) \cap V_2)$. By assumption, one can find two non-negative integers $n_1$ and $n_2$ such that $S^{-n}(U_1) \cap V_1 \ne \emptyset$ whenever $n \ge n_1$ and $T^{-n}(U_2) \cap V_2 \ne \emptyset$ whenever $n \ge n_2$. Hence $(S \times T)^{-n}(U) \cap V \ne \emptyset$ whenever $n \ge \max(n_1,n_2)$.
Let us first set up some notation and give definitions. Let $X$ be a topological space, $T:X\to X$ be a continuous self-map of $X$. For two subsets $A,B\subseteq X$ call the set
$$N^T(A\to B)=\{n\in\mathbb{Z}_{\geq0}\,|\, T^n(A)\cap B\neq\emptyset\}$$
the set of return times from $A$ to $B$. Denote by $\mathcal{T}(X)^\ast$ the collection of all nonempty open subsets of $X$. $T$ is called
Note that, when $X$ is Hausdorff, these definitions are equivalent to the definitions I used in my answer to your previous question (Topological weakly mixing implies totally transitive ), in light of another answer of mine (Isolated Points and Topological Transitivity ).
It is clear that TSM $\implies$ TT.
By an argument I provided in the second link above, we have that if $X$ is Hausdorff, then
$$T \text{ is TT } \iff \forall U,V\in\mathcal{T}(X)^\ast: N^T(U\to V) \text{ is infinite}.$$
Thus from this point of view the relation of TT to TSM is analogous to the common relation of "for infinitely many" to "for all but finitely many". Admittedly, once this is verified the parts of the proposition become exercises in syntactic manipulation.
Let $X,Y$ be Hausdorff topological spaces, $S:X\to X$ and $T:Y\to Y$ be continuous. We endow $X\times Y$ with product topology, thus $\forall U\in\mathcal{T}(X\times Y)^\ast, \exists U_1\in\mathcal{T}(X)^\ast,\exists U_2\in\mathcal{T}(Y)^\ast: U_1\times U_2\subseteq U$. We also have:
\begin{align*} &\forall U_1, V_1\in\mathcal{T}(X)^\ast,\forall U_2,V_2\in\mathcal{T}(Y)^\ast:\\ &N^{S}(U_1\to V_1)\cap N^{T}(U_2\to V_2)= N^{S\times T}(\,(U_1\times U_2)\,\to\, (V_1\times V_2)\,), \end{align*}
and
\begin{align*} \forall U, V\in\mathcal{T}(X\times Y)^\ast,&\exists U_1,V_1\in\mathcal{T}(X)^\ast, \exists U_2,V_2\in\mathcal{T}(Y)^\ast:\\ &U_1\times U_2\subseteq U, V_1\times V_2\subseteq V, \text{ and }\\ &N^{S}(U_1\to V_1)\cap N^{T}(U_2\to V_2)\subseteq N^{S\times T}(U\to V). \end{align*}
For part (iv), the intersection of an infinite set and a cofinite set (i.e. a set whose complement is finite) is infinite. For the $(\impliedby)$ part of part (v), the intersection of two cofinite sets is cofinite, and for the $(\implies)$ part of part (v), note that if $U,V\in\mathcal{T}(X)^\ast$, then $U\times Y, V\times Y\in\mathcal{T}(X\times Y)^\ast$.
I prove (v), but with the definition of mixing for measure-preserving maps.
Call $\mu$ and $\nu$ the invariant measures considered ($\mu$ is invariant by $S$ and $\nu$ is invariant by $T$). The mixing property of $S \times T$ is equivalent to the property for $f$ and $g$ in $L^2(\mu \otimes \nu)$, $$\langle f \circ (S \times T)^n, g \rangle \to \langle f,1 \rangle \times \langle 1, g \rangle \text{ as } n \to +\infty.$$
In particular, this condition must hold when $f$ and $g$ depend only on the first (second) variable, so the mixing property of $S$ (of $T$) is necessary.
Assume now that $S$ and $T$ are mixing. We have to prove the convergence above for every $f$ and $g$ in $L^2(\mu \otimes \nu)$. This is done by a density argument.
The functions $f_1 \otimes f_2$ where $f_1 \in L^2(\mu)$ and $f_2 \in L^2(\nu)$ form a total family in $L^2(\mu \otimes \nu)$. Using that the family bilinear forms $(f,g) \mapsto \langle f \circ (S \times T)^n, g \rangle$ is equicontinuous because of the inequality $$|\langle f \circ (S \times T)^n, g \rangle| \le ||f||_{L^2(\mu)}||g||_{L^2(\nu)},$$ one needs only to consider the case where the functions $f$ and $g$ are tensor products $f_1 \otimes f_2$ and $g_1 \otimes g_2$. In this case, the scalar products splits in two parts by Fubini theorem and the convergence follows.