2

Suppose that $(\Omega, \mathcal{F}, Q)$ is a probability space and that $\varphi: \Omega \rightarrow \Omega$ is measure preserving. For $\omega \in \Omega$, let $X_n(\omega) = X_0(\varphi^n \omega)$ for some measurable $X_0: \Omega \rightarrow \mathbf{R}$. Now consider $(\mathbf{R}^\infty, \mathcal{B}, P)$ with $$ P(B) = P((x_0,x_1, \ldots) \in \mathbf{R}^{\infty}: (x_0,x_1, \ldots) \in B) = Q(\omega: (X_0(\omega), X_1(\omega), \ldots) \in B)$$

Edit: where $B$ is a measurable set in $\mathcal{B}$, and $\theta$ is the shift operator for $(X_0(\omega), X_1(\omega),\ldots)$.

(a) Give an example where $\theta$ is ergodic, but $\varphi$ is not ergodic.

(b) Show that if $\Omega = \mathbf{R}$ and $X_0(\omega) = \omega$, then we have ergodicity of $\theta$ implies ergodicity of $\varphi$

It is straightforward to show that ergodicity of $\varphi$ implies ergodicity of $\theta$. But I can't come up with an example for (a) and show (b).

Alp Uzman
  • 12,209
Gavin
  • 583
  • 2
  • 13
  • 1
    Define $B$ and $\theta$ – FShrike Apr 20 '22 at 06:27
  • Thanks for pointing it out. $B$ is a measurable set in $\mathbf{B}$, and $\theta$ is the shift operator for $(X_0(\omega), X_1(\omega),\ldots)$. They are added to the original question. – Gavin Apr 20 '22 at 13:35

1 Answers1

1

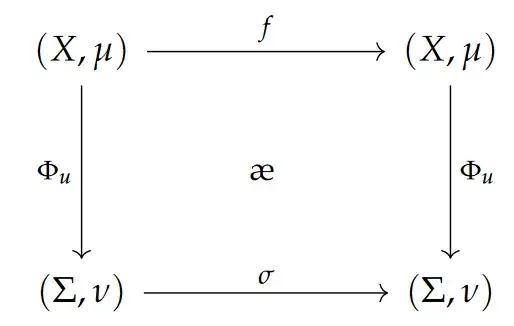
It might be instructive to think of this as coding. Let me set up some notation first: say $(X,\mu)$ is a probability space, let $f:(X,\mu)\to (X,\mu)$ be a measurable measure-preserving map. Consider the shift space $\Sigma=F(\mathbb{Z}_{\geq0};\mathbb{R})$ on which the shift operator acts:

$$\sigma: \Sigma\to \Sigma, \omega_\bullet\mapsto \omega_{\bullet+1}.$$

(Explicitly $\sigma(\omega_0,\omega_1,...,\omega_n,...)=(\omega_1,\omega_2,...,\omega_{n+1},...)$.)

We think of $\Sigma$ to be endowed with the product topology and associated Borel $\sigma$-algebra.

For any measurable function $u:X\to \mathbb{R}$ we have an associated coding map $\Phi_u$. This is a measurable map $\Phi_u:X\to\Sigma$ defined by

$$x\mapsto [n\mapsto u\circ f^n(x)].$$

Denoting by $\nu=\overrightarrow{\Phi_u}(\mu)$ the pushforward measure we have a commutative diagram (in the a.e. category of probability spaces):

enter image description here

Note that the setup here matches exactly with your setup ($(X,\mu)$ is $(\Omega,Q)$, $f$ is $\varphi$, $u$ is $X_0$, $\Sigma$ is $\mathbb{R}^\infty$, $\nu$ is $P$, $\sigma$ is $\theta$).

Observation: One can verify that the ergodicity of $(\mu,f)$ implies the ergodicity of $(\nu,\sigma)$ like so in this notation: if $\phi: \Sigma\to \mathbb{R}$ is measurable and $\nu$-a.e. $\sigma$-invariant, then $\phi\circ \Phi_u:X\to\mathbb{R}$ is measurable and $\mu$-a.e. $f$-invariant, so that it has to be constant $\mu$-a.e.. Thus $\phi$ has to be constant $\nu$-a.e..


For part (a), let us work backwards. Take any $\sigma$-invariant Borel probability measure $\nu$ on $\Sigma$. Define $X=\Sigma\times [0,1]$ and $f=\sigma\times \operatorname{id}_{[0,1]}:X\to X, (\omega_\bullet,t)\mapsto (\omega_{\bullet+1},t)$. Then the product measure $\mu=\nu\otimes \operatorname{leb}_{[0,1]}$ is $f$-invariant. Note that no matter what $\nu$ is $(\mu,f)$ is never ergodic, due to the second factor.

Now take $u: X\to \mathbb{R}, (\omega_\bullet,t)\mapsto \omega_0$. $u$ is a projection, hence measurable. It's also clear that $\Phi_u=\operatorname{proj}_\Sigma: (\omega_\bullet,t)\mapsto \omega_\bullet$. Now taking $\nu$ to be ergodic gives an example (certainly there are such measures on $\Sigma$, as $\Sigma$ is Polish, see e.g. Countable product of complete metric spaces or Is the product of Polish spaces Polish?).

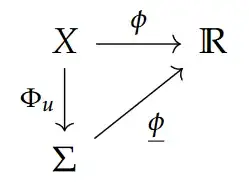
For part (b), the claim is that if $X=\mathbb{R}$ and $u=\operatorname{id}_{\mathbb{R}}$, then $(\mu,f)$ is ergodic iff $(\nu,\sigma)$ is ergodic. The observation above points toward a strategy: if any $f$-invariant function $\mathbb{R}\to \mathbb{R}$ were to factor through $\Phi_u$ we would have that the ergodicity at the factor level imply ergodicity at the extension level. Note that in this case $\Phi_u: \mathbb{R}\to \Sigma$ is simply the map $x\mapsto [n\mapsto f^n(x)]$, that is, the point $x$ is sent to its orbit (with the natural ordering).

Now let $\phi: X\to\mathbb{R}$ be measurable and $f$-invariant. Defining $\underline{\phi}: \Sigma\to \mathbb{R}$ by $\omega_\bullet\mapsto\phi(\omega_0)$ gives a factorization:

enter image description here

Further, $\underline{\phi}$ is $\sigma$-invariant when restricted to the image of $\Phi_u$ (which has full $\nu$-measure): $\underline{\phi}\circ \sigma (\Phi_u(x)) = \underline{\phi}\circ\sigma\circ\Phi_u(x) = \underline{\phi}\circ \Phi_u\circ f(x) = \phi\circ f (x) = \phi(x) = \underline{\phi}(\Phi_u(x))$. Thus if $(\nu,\sigma)$ is ergodic, then $\underline{\phi}$ is constant $\nu$-a.e. ($\underline{\phi}$ is the composition of a measurable map and a continuous map, hence is measurable). But then $\phi=\underline{\phi}\circ \Phi_u$ is constant $\mu$-a.e., so that $(\mu,f)$ is ergodic.

Alp Uzman
  • 12,209
  • For part (a), can we simply take, for example, $\Sigma = [0, 1]^{\mathbb{N}}$? Must we take $\Sigma = \mathbb{R}^{\infty}$? – ArGenya Apr 21 '22 at 12:00
  • @ArGenya You are right that there is nothing specific about yhe construction, though the counterexample required forces one to use the appropriate shift space at the base. – Alp Uzman Apr 21 '22 at 14:09