0

I am trying to understand the following proof:

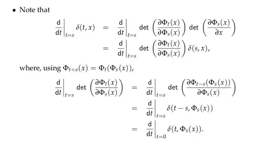
enter image description here

What I dont't understand is how $\delta(t,x)$ is differentiated. My first thought was to use enter image description here

But I am not sure if I am on the right track here.

Many thanks in advance!


enter image description here enter image description here

Hans
  • 974
  • You don't say what part of the demonstration is unclear. The first line is chain rule, $$\frac{\partial \Phi_t(x)}{\partial x} = \frac{\partial \Phi_t(x)}{\partial \Phi_s(x)} \cdot \frac{\partial \Phi_s(x)}{\partial x}$$ and properties of determinants $$\det(A\cdot B) = (\det A)(\det B)\text{.}$$ – Eric Towers Dec 21 '21 at 18:23
  • That was exactly my question. I am afraid I don't see why this is the chain rule. what is$\frac{\partial\Phi_{t}(x)}{\partial\Phi_{2}(x)}$? – Hans Dec 21 '21 at 18:30
  • "$s$", not "$2$". It's the rate of change of $\Phi_t(x)$ with respect to $\Phi_s(x)$ (where $x$ is treated as the independent variable). You should be familiar with the chain rule in Leibniz notation: $\frac{\mathrm{d}z}{\mathrm{d}x} = \frac{\mathrm{d}z}{\mathrm{d}y} \cdot \frac{\mathrm{d}y}{\mathrm{d}x}$. The dependency of $\Phi_t$ on $\Phi_s$ is given explicitly in the line of text between the two displays in your first unsearchable photograph. – Eric Towers Dec 21 '21 at 18:36
  • The "2" is just a typo, sorry. Yes I am familiar with it, but not a fan. Okay, but doesn't $\Phi_{t+s}(x)=\Phi_{t}(\Phi_{s}(x))$ imply that $\frac{\partial\Phi_{t+s}(x)}{\partial x}=\frac{\partial\Phi_{t}(x)}{\partial y}\frac{\partial\Phi_{s}(x)}{\partial x}$? Is it the case that $y$ is defined to be $y=\Phi_{s}(x)$? How do you get $\frac{\partial\Phi_{t}(x)}{\partial x}=\frac{\partial\Phi_{t}(x)}{\partial y}\frac{\partial\Phi_{s}(x)}{\partial x}$? – Hans Dec 21 '21 at 18:50
  • Is it the case that $y$ is defined to be $y=\Phi_{s}(x)$, in other words it is a change of cooridnates?
  • – Hans Dec 21 '21 at 18:56
  • It is the case that $y$ is the function between $\Phi_t$ and $x$ in the chain (/composition) of functions. – Eric Towers Dec 22 '21 at 17:25