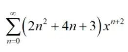
The task is to find the sum of the series:
I can calculate the sum of an ordinary positive number series, but as I understand it, this series is not an ordinary positive number series. Tell me how to calculate the sum of such series
The task is to find the sum of the series:
I can calculate the sum of an ordinary positive number series, but as I understand it, this series is not an ordinary positive number series. Tell me how to calculate the sum of such series