I'm studying Neukirch's Algebraic number theory, p. 300~301, (6.3) Theorem.
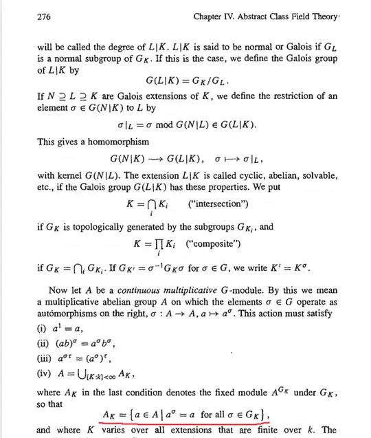
We assume knowledge of abstract galois theory, from his book p.275~
I now trying to understand the underlined statement.
Q.1) What is the fixed field $M$ of a p-Sylow subgroup? Does it means that the index of $G_M$, where $G_M$ is a $p$-Sylow subgroup of $G$(c.f. his book p.275. $G$ is maybe a given profinte group.) But in the proof, he writes that "$M|K$ need not be Galois", and "but we may use the left part of the diagram, where $r_{L|M}$ is surjective." From his writing, it seems to possible that we may choose $M$ such that $M|K$ is a subextension of $L|K$. Is it possible?
Q.2) What is the $p$-Sylow subgroup $S_p$ of $A_K/N_{L|K}A_L$(Definition is given in his book 277)? If $A_K/N_{L|K}A_L$ is finite, then since $A_K/N_{L|K}A_L$ is abelian so if $p$ is divides the order of $A_K/N_{L|K}A_L$, then we may prove that there is only one $p$-Sylow subgroup of $A_K/N_{L|K}A_L$. But
Q.2-1) Is $A_K/N_{L|K}A_L$ a finite?
Q.2-2) Does $p$ divides the order of $A_K/N_{L|K}A_L$?
Q.3) Why $([M : K], p) =1 $?
Any one helps? Thanks for reading.



