0

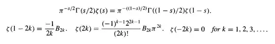
I have proved the following four identities already but I can't prove $\zeta(0)=-\frac12$. The book has stated it as "an easy corollary". I couldn't find any complete proof in the internet because either there is none or uses formulas not from the following four (and not based on this):

enter image description here

How $\zeta(0)=-\frac12$ is true?

  • 1
    Try k=0 as a substitution into the equation photo. – Тyma Gaidash Sep 25 '21 at 19:54
  • 1
    @TymaGaidash, k are 1,2,3,... –  Sep 25 '21 at 19:59
  • Are you allowed to use that $\Gamma(s)$ and $\zeta(1-s)$ both have simple poles with residue $1$ at $s=0$? Because then $\zeta(0) = \pi^{-1/2}\cdot \Gamma(1/2)\cdot \lim_{s\to 0}\frac{\zeta(1-s)}{\Gamma(s/2)} = \pi^{-1/2}\cdot \pi^{1/2}\cdot-\frac12=-\frac12$ – Mastrem Sep 25 '21 at 20:12
  • @Mastrem, I know that Γ(s) and ζ(1−s) both have simple poles with residue 1 at s=0, but how $\lim_{s\to 0}\frac{\zeta(1-s)}{\Gamma(s/2)}=-1/2$ holds? –  Sep 25 '21 at 20:23
  • $-s\zeta(1-s) \rightarrow 1$ as $s$ goes to $0$, because $\zeta$ has a simple pole at $1$ with residue $1$. For the same reason, $\frac{s}{2}\Gamma(s/2) \rightarrow 1$. Now take the quotient. – Aphelli Sep 25 '21 at 20:32

1 Answers1

1

Take $s \rightarrow 0$. The LHS is equal to $\frac{2}{s}(\zeta(0)+o(1))$ while the RHS is equivalent to $-\pi^{-1/2}\Gamma(1/2)\frac{1}{s}$. But $\Gamma(1/2)=\pi^{1/2}$, thus $2\zeta(0)+o(1) = -1$, hence the conclusion.

Aphelli
  • 37,929
  • Could you elaborate how LHS = \frac{2}{s}(\zeta(0)+o(1))? And how a minus in RHS appears (it should be plus)? –  Sep 25 '21 at 19:59
  • $\zeta(1+s) = \frac{1+o(1)}{s}$ as $s \rightarrow 0$, so $\zeta(1-s) = -\frac{1+o(1)}{s}$. For LHS, $\zeta(s) = \zeta(0)+o(1)$, $\pi^{-s/2} = 1+o(1)$, $\Gamma(s/2) = \frac{2}{s}\gamma(1+s/2) = \frac{2}{s}(1+o(1))$. – Aphelli Sep 25 '21 at 20:01
  • Thank you but I had asked from the identities in the photo. Unfortunately I don't know about the expansions you have used. Also the book has stated \zeta(0)=-\frac12 as "an easy corollary" of the first identity in the photo –  Sep 25 '21 at 20:07
  • I am using the first identity indeed. What I'm doing with it is perhaps not easy for you, but to anyone working in the field (or knowing enough about it to write a book), it is. – Aphelli Sep 25 '21 at 20:10