1

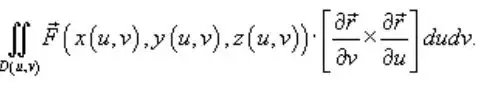
In the formula for calculating surface integrals of second kind, we have: The formula

But, this integral is denoted by $\int \int _S \vec{F}\cdot \hat{n}dS $ . So, should we always normalize the expression $ \frac{\partial \vec r }{\partial v} \times \frac{\partial \vec r}{\partial u} $ before substituting it into the formula?

Thanks in advance !

Glorfindel
  • 4,000
czash
  • 407

1 Answers1

3

Here's a little derivation of the formula - hopefully it'll help you to answer your own question.

The definition of the surface integral tells us that $$ \iint_S \vec F \cdot d\vec S = \iint_S \vec F \cdot \hat n \, dS $$ where $\hat n$ is the unit normal vector to the surface. This equivalence is well described in chapter 16 of Stewart's book. Moving on, we know that $$ \vec r_u \times \vec r_v $$ is a vector normal to the surface parametrized as $\vec r(u,v)$. This vector must to normal to the surface because $\vec r_u$ and $\vec r_v$ are both curves tangent to the surface and their cross product gives a vector that perpendicular to each of them. To make this a unit vector, we simply divide it by it's length $\left| \vec r_u \times \vec r_v \right|$ and obtain $$ \hat n = \frac{\vec r_u \times \vec r_v}{\left| \vec r_u \times \vec r_v \right|} $$ Substituting this into the above integral, we obtain $$ \iint_S \vec F \cdot \left( \frac{\vec r_u \times \vec r_v}{\left| \vec r_u \times \vec r_v \right|} \right) \, dS $$ Furthermore, we know that $\left| \vec r_u \times \vec r_v \right|\, dA$ is the infinitesimal surface area element $dS$ (this is also well described in Stewart). Plugging this in, we get $$ \iint_D \vec F \cdot \left( \frac{\vec r_u \times \vec r_v}{\left| \vec r_u \times \vec r_v \right|} \right) \, \left| \vec r_u \times \vec r_v \right| \, dA $$ where $D$ is the domain of the parameters $u$ and $v$. This simplifies to $$ \iint_D \vec F \cdot \left( \vec r_u \times \vec r_v \right) \, dA $$ Any of these expressions can be used in computing the surface integral. However, using any of them before the final one would just be a recalcitrant implementation of the final formula as they would simplify to the same thing. If you're trying to compute the surface integral over $D$, the parameters of $u$ and $v$, then no, you do not need to scale the normal vector to length one.

Hope this helps!

Ryan
  • 850
  • I know I mentioned Stewart's book a couple of times. If you don't use his book, this resource is essentially a reproduction of it and also an invaluable resource: http://tutorial.math.lamar.edu/Classes/CalcIII/SurfaceIntegrals.aspx. – Ryan Jun 19 '13 at 08:14
  • Thanks a lot for your answer, but there is still one more thing I can't understand. In your final formula you showed that we actually do not need to normalize our normal vector. But in your last sentence you wrote that if we are using the formula for double integral over D , we do need to rescale the normal vector... Can you please explain to me why the second sentence doesn't contradict the last formula? Thanks – czash Jun 19 '13 at 09:15
  • Typo - sorry about that. You do not need to rescale it. – Ryan Jun 19 '13 at 09:53