2

I have 3 questions here, mainly related to convergence and justifying interchanging the order of differentiation/integration and summation. The authors seem to think these justifications are trivial but I have had problems with them.

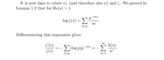
Here they say the series converges, but I haven't been able to prove it

Here they say the double sum converges for $s > 1$, but I haven't been able to prove it. (The sum is over primes $p$ and all positive integers $m$).

enter image description here

They differentiate here term by term and assume the resulting series converges to the first quantity on the left.

enter image description here

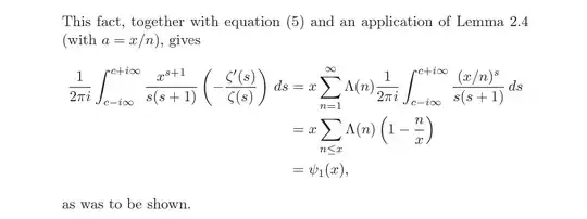
In the first step here they interchange the order of summation and integration.

Km356
  • 904
  • Second question: the sum is uniformly convergent for $\Re s \geq c$ with any fixed $c>1$ and is a sum of holomorphic functions on $\Re s>1$. Thus the sum is holomorphic on $\Re s>1$ and its derivative is the term-by-term derivative of the series. – Gary Aug 05 '21 at 12:13
  • See the comments on the answer below. – Km356 Aug 05 '21 at 14:49
  • 1
    See the theorem in the middle of page 1 of https://people.reed.edu/~jerry/311/pseries2.pdf – Gary Aug 05 '21 at 15:12
  • 1
    See also https://mathworld.wolfram.com/VitalisConvergenceTheorem.html – Gary Aug 05 '21 at 15:38

1 Answers1

3
  1. Let $s \in \mathbb{C}$ with $\mathrm{Re}(s)>1$, and let $c>1$ such that $\mathrm{Re}(s)>c$. Notice that \begin{align*} \left| \sum_{\substack{p \text{ prime} \\ m \geq 1}} \frac{p^{-ms}}{m} \right| &=\left| \sum_{\substack{p \text{ prime} \\ m \geq 1}} \frac{1}{p^{ms}m} \right| \\ &\leq \sum_{\substack{p \text{ prime} \\ m \geq 1}} \left|\frac{1}{p^{ms}m} \right| \\ & = \sum_{\substack{p \text{ prime} \\ m \geq 1}} \frac{1}{p^{\mathrm{Re}(ms)}m} \\ & \underbrace{\leq }_{\mathrm{Re}(s)>c} \sum_{\substack{p \text{ prime} \\ m \geq 1}} \frac{1}{p^{mc}m}. \end{align*}

Now, since the $k^{\text{th}}$ prime is greater than $k$

$$\sum_{\substack{p \text{ prime} \\ m \geq 1}} \frac{1}{p^{mc}m} \leq \sum_{\substack{k \geq 2 \\ m \geq 1}} \frac{1}{k^{mc}m} \leq \sum_{\substack{k \geq 2 \\ m \geq 1}} \frac{1}{k^{mc}}.$$

Finally,

\begin{align*} \sum_{\substack{k \geq 2 \\ m \geq 1}} \frac{1}{k^{mc}} &=\sum_{k \geq 2} \left( \frac{1}{1-\frac{1}{k^{c}}}-1 \right) \\ &=\sum_{k \geq 2} \frac{1}{k^{c}-1} \\ &<\infty. \end{align*}

By the Weierstrass $M$-test, this computation implies that $\sum \frac{p^{-ms}}{m}$ converges uniformly when $\mathrm{Re}(s)>1$.

  1. Since the uniform limit of holomorphic functions is holomorphic, the previous step implies that $\log(\zeta(s))$ is holomorphic for $\mathrm{Re}(s)>1$. Then you can differentiate the series of $\log(s)$ term by term to obtain $$ \frac{\zeta'(s)}{\zeta(s)}=\frac{d}{ds} \log(\zeta(s))=\sum_{m,p} \frac{d}{ds}\frac{p^{-ms}}{m}=-\sum_{m,p} (\log p) p^{-ms}.$$ The equality $-\sum_{m,p} (\log p) p^{-ms}=-\sum_{n=1}^{\infty} \frac{\Lambda(n)}{n^{s}}$ comes from the definition of the Von Mangoldt function: $$\Lambda(n)=\begin{cases} \log p & \text{if }n=p^{m}, \\ 0 & \text{otherwise} \end{cases}.$$ Thus $$\sum_{n=1}^{\infty} \frac{\Lambda(n)}{n^{s}}=\sum_{\substack{p \text{ prime} \\ m \geq 1}} \frac{\log p}{p^{ms}}.$$

  2. I will show that $\sum_{n=1}^{\infty} \frac{\Lambda(n)}{n^{s}}$ converges uniformly using the Weiestrass $M$-test. As before, take $s$ with $\mathrm{Re}(s)>1$, and let $c>1$ such that $\mathrm{Re}(s)>c$. By definition of the Von Mangoldt function you have the following bound

\begin{align*} \left| \sum_{n=1}^{\infty} \frac{\Lambda(n)}{n^{s}} \right| &\leq \sum_{n=1}^{\infty} \left| \frac{\Lambda(n)}{n^{s}} \right| \\ & =\sum_{n=1}^{\infty} \frac{\Lambda(n)}{n^{\mathrm{Re}(s)}} \\ & \leq \sum_{n=1}^{\infty} \frac{\log(n)}{n^{c}}. \end{align*}

Since for any $A>0$ we have $\log(n)<\frac{n^{A}}{A}$, we obtain that

$$ \sum_{n=1}^{\infty} \frac{\log(n)}{n^{c}} \leq \frac{1}{A} \sum_{n=1}^{\infty} \frac{1}{n^{c-A}}.$$

If you choose $A$ such that $c-A>1$ (which exists because $c>1$), then you obtain that the RHS of this inequality is finite. So, in virtue of the Weiestrass $M$-test the series of holomorphic functions $\sum_{n=1}^{\infty} \frac{\Lambda(n)}{n^{s}}$ is uniformly convergent. This kind of convergence allow you to change the integral with the series.

Sebathon
  • 1,724
  • I have some confusions here. First, why is the following inequality true? $$ \underbrace{\leq }{\mathrm{Re}(s)>1} \sum{\substack{p \text{ prime} \ m \geq 1}} \frac{1}{p^{m}m} \ \leq \left(\sum_{m \geq 1} \frac{1}{m^{m+1}} \right)^{2} \ $$ – Km356 Aug 05 '21 at 14:37
  • Second, the derivative is obtained by differentiating term by term when the original function is given in terms of a power series, but here the function is only given as an infinite sum of holomorphic functions so, while we can conclude that the limit function is holomoprhic, we can't guarantee that the series resulting from differentiating the original series term by term converges. And even if it converges, we will have to prove that it converges to the derivative of the limit function. Are there similar results for more general series than the usual power series? – Km356 Aug 05 '21 at 14:39
  • And about my third question, we know that a sufficient condition for the limit function of a sequence of holomorphic functions to be holomorphic is that the limit be uniform, but is it necessary? That is, suppose we know that the limit of a sequence of holomorphic functions is holomorphic, does that imply that the limit is uniform? I think that's your line of reasoning here, but I haven't seen this result before. I'm sorry, I know this is a lot of questions. Thanks for your time. – Km356 Aug 05 '21 at 14:40
  • That argument cannot be correct since the term corresponding to $m=1$ is $\sum_p 1/p$ which diverges. – Gary Aug 05 '21 at 15:25
  • @Gary is right. I edited the first part. – Sebathon Aug 05 '21 at 15:39
  • @Km356 Weiestrasss $M$-test says that the series $\sum \frac{p^{-ms}}{m}$ converges uniformly. Since you have a series of holomorphic functions which converges uniformly, then the derivation of the series is equal to the series of the derivation of each term. The general result is the following "if ${f_{n}}$ is a sequence of holomorphic functions with $f_{n} \to f$ uniformly, then $f_{n}' \to f'$ uniformly." – Sebathon Aug 05 '21 at 16:04
  • @Km356 I edited the answer justifying the convergence for the first question and justifying the convergence of the series implying the Von Mangoldt – Sebathon Aug 05 '21 at 16:42