could you help me on this integral ?
$$\int \frac{1}{\cos(x)}\,\mathrm dx$$
Here's what I've started :
$$\int \frac{1}{\cos(x)}\,\mathrm dx = \int \frac{\cos(x)}{\cos(x)^2}\,\mathrm dx = \int \frac{\cos(x)}{1-\sin(x)^2}\,\mathrm dx$$
Now, I did : $u = \sin(x)$, so $\mathrm du = 1$.
Now I have :
$$\int \frac{\text{???}}{1-u^2}\,\mathrm du$$
But at this point, I think I did the most of the job but I'm stuck. Could you help me to solve this integral please (to the integration by substitution at the end) ?
Thanks
EDIT :
Now I follow the steps and I got :
$$\int \frac{1}{1-u^2}\,\mathrm du$$ Doing the partial fraction I got $A = 1/2$ and $B = 1/2$.
So basically I have :
\begin{align} & \int \frac{1}{1-u^2}\,\mathrm du = \int \frac{1/2}{1+u}\,\mathrm du + \int \frac{1/2}{1-u}\,\mathrm du \\[8pt] = {} & \frac 1 2 \left(\int \frac{1}{1+u} \, du - \int \frac{1}{1-u} \, du\right) \\[8pt] = {} & \frac 1 2 \ln\left(\frac{1+u}{1-u}\right) = \ln\left(\left(\frac{1+\sin(x)}{1-\sin(x)}\right)^{1/2}\right) \\[8pt] = {} & \ln \left(\frac{\sqrt{1+\sin(x)}}{\sqrt{1-\sin(x)}}\right) = \ln\left(\frac{\sqrt{1+\sin(x)}}{\sqrt{\cos(x)^2}}\right) \\[8pt] = {} & \ln\left(\frac{\sqrt{1+\sin(x)}}{\cos(x)}\right) \end{align}
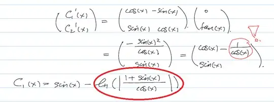
Here's what my teacher got :

What's wrong with what I did ? Did I miss something ?