I am learning about existence and uniqueness theorem of ordinary differential equation $$y'=f(x,y),y(a)=b$$ The differential equation has a unique solution in a neighborhood $|x-a|<h$ of $a$. In Pollard ordinary differential equation book $h$ is given by $h=\min\{a, b/M\}$ whereas in G. F. Simmons book $h$ is taken as $h=\min\{1, 1/C, b/M\}$, where $M$ is a bound of $f$ and $C$ is bound of $\frac{\partial f}{\partial y}$ in some compact rectangle around $(a,b)$. According to me Pollard book way is much better as in this way $h$ can be any real number as $h$ may even tends to infinity. But in Simmons way $h\leq 1$ always. Please comment about my observation or anything misunderstood by me. G. F. Simmons approach .
and another approach 
Thank you.
- 301
-
1See my answer in https://math.stackexchange.com/questions/3926900/picard-lindelöf-theorem-variations for an overview. // Something went wrong in your blending of notations. First $(a,b)$ is the fixed initial point, then you use $a,b$ for radius quantities. Also in Pollard there will be a restriction on the final interval length stemming from a Lipschitz constant. – Lutz Lehmann May 07 '21 at 11:13
-
@Lutz Lehmann sir are you saying that by variant of Simmons book $h$ can be bigger than $1$? This is my main problem. Thank you. – Ymylife May 07 '21 at 14:39
-
It is bad design if fixed constants occur in a general situation. Under linear scaling of the problem the construction constants should change in a similar, if not equal way. An exception would be if the problems in the Simmons book are in some kind of normal form. – Lutz Lehmann May 07 '21 at 14:46
1 Answers
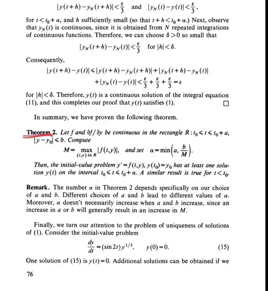
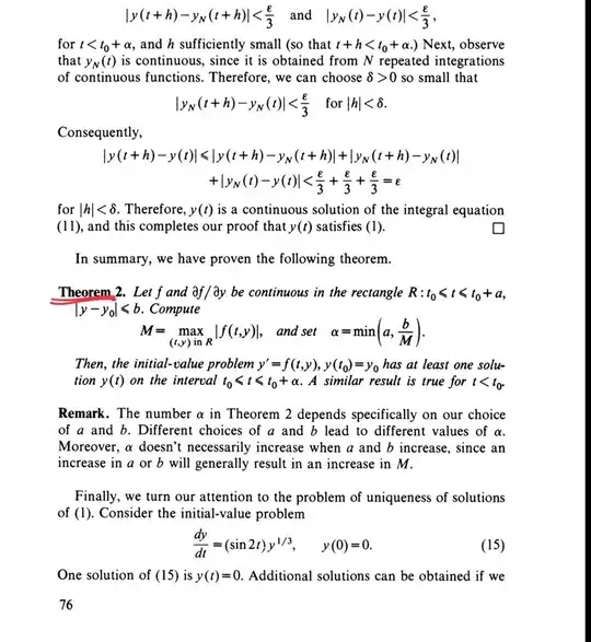
You have an initial point $(a,b)$ with $y(a)=b$ inside the open domain $D_f$.
As a first step you fit a cylinder with radii $r_a,r_b$ inside $D_f$, $$ C=\{(x,y):~|x-a|\le r_a,~\|y-b\|\le r_b\}\subset D_f. $$ This gives $h\le r_a$.
This cylinder is compact, so $f$ will have a maximum $M$ and a local Lipschitz constant $L$ on $C$. The, as of now hypothetical, solutions of the ODE IVP will have Lipschitz constant $M$, so that $\|y(t)-b\|\le M\,|x-a|$ as long as $y$ stays in $C$. For the fixed-point theorem it is required that the solution stays in $C$ for $x\in[a-h,a+h]$. So we require $$ Mh\le r_b $$ or $h\le r_b/M$.
Finally the straight-forward application of the fixed-point theorem in the supremum-norm on the function space requires that $$ Lh\le q<1. $$ With the consideration of a un-fixed $q$ one can find partial solutions for any $q<1$ and $h=q/L$ that extend each other for rising $q$. Thus the only true restriction here is $h\le 1/L$. In total this gives $$ h=\min(r_a,r_b/M,1/L). $$
Using the exponentially modified supremum-norm $$ \|y\|_L=\sup_{x\in[a-h,a+h]}e^{-2L|x-a|}\|y(x)\| $$ in the Banach fixed-point theorem gives a contraction factor $\frac12$ independent of the interval length, so that only the first two restrictions on $h$ apply, allowing to chose $$ h=\min(r_a,r_b/M). $$
Different combinations of the initial radii give different bound (and Lipschitz constant) for $f$. Thus it may happen that reducing the initial $r_a$ and $r_b$ results in a larger value for $h$.
- 131,652
-
Thank you sir for reply... Actually have very little knowledge of differential equation... I am trying to understand your answer and will reply sir... I also attached in my question G. F. Simmons page. Thank you sir... – Ymylife May 08 '21 at 15:20
-
For a practical application of such considerations, see https://math.stackexchange.com/questions/2622702/the-ivp, https://math.stackexchange.com/questions/3557623/prove-that-there-is-a-solution. Note that one can improve the given solutions noticeably by removing the third condition with the Lipschitz constant. – Lutz Lehmann May 08 '21 at 15:34
-
Yes, what is written in these pages is exactly what I wrote above. The Lipschitz constant in the first is called $K$ instead of $L$, and the dimensions of the box $R$ are not given names. In the second, $(t_0,y_0,a,b)$ correspond to $(a,b,r_a,r_b)$ above. There is no conceptual difference between a one-sided and two-sided proof. – Lutz Lehmann May 08 '21 at 17:14