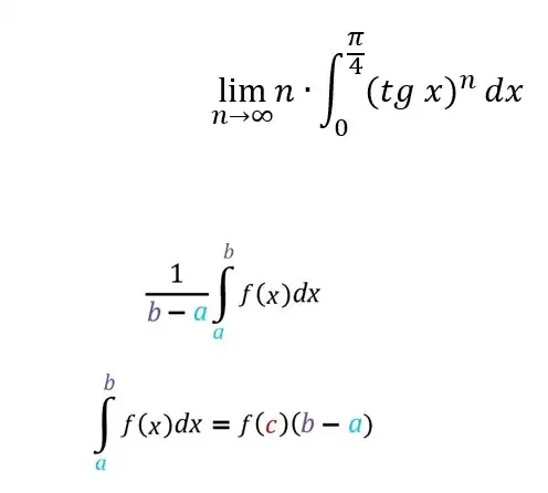
I attached an image with a limit, how can I solve that limit? If I use mean value theorem for integral it will be indeterminate form infinity * zero.
Asked
Active
Viewed 231 times
-1
dacian
- 35
1 Answers
0
Use $u=\tan^{n+1}x \implies \frac{du}{1+u^{\frac{2}{n+1}}} = (n+1)\tan^nxdx$
$$\frac{n}{n+1}\int_0^1\frac{du}{1+u^{\frac{2}{n+1}}} \longrightarrow \int_0^1\frac{du}{1+1} = \frac{1}{2}$$
Ninad Munshi
- 37,891
$$\int_{\color{cyan}{a}}^{\color{purple}{b}} f(x) dx = f(\color{red}{c})(\color{purple}{b} - \color{cyan}{a})$$– Theo Bendit Apr 20 '21 at 07:19