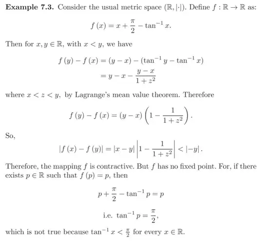
This is an example from a text to show that this mapping does not have a fixed point because it is contractive but not a contraction:
I am not sure what the difference is between contractive and contraction. Doesn't the function satisfy all the requirements of the fixed point theorem?
