1

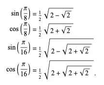
Let $A_1A_2…A_k$ a polygone inscribed in a circle of radius $R$, with $k=2^n$ . Show that: $A_1A_2=R\sqrt{2-\sqrt{2+\sqrt{2-\sqrt{2+...+\sqrt{2}}}}}$ , the number of square roots being $n–1$. This may seem a nice problem By looking at this(If $ (A_1A_2)^2 + (A_1A_3)^2.......... + (A_1A_n)^2= 14r^2$, then prove that the number of sides is 7.) I deduced that $A_1A_{k+1}=2r\sin\Bigl(\frac{k\pi}{2^n}\Bigr)\ $ and so $A_1A_2=2R\sin(\frac{\pi}{2^n})$. I also observed that:

enter image description here

And such I deduce that $\sin(\frac{\pi}{2^n})$ would give me my desired squared root. It uses the formula of the division by $2$ of the argument of a trigonometric function in reverse and it gives me what I want. However, I don't know the inductive steps required and how to bridge my intuitive ideea to the general result in $n$. What my intuition says does not suffice. Any help, please?

0 Answers0