1

I have found some formulae to calculate/estimate the commuting probability $P_G$ of some finite non Abelian groups in this thesis. For example: $S_n$, $D_n$, $Q_8$ among others. The options from the list seem to be either of prime/odd order, or with $P_G \approx \frac{1}{4}$. That makes me wonder whether there is some power-of-two group that stands not far behind from the "anti-abelianess" of $S_n$. And, I am also asking my self whether $S_n$ stablishes some kind of lower limit for $P_G$, even considering groups with order different from powers of two.

An example of power-of-two group with $P_G \ll \frac{1}{4}$ is the multiplication over unitriangular matrices (modulo). However, it is still much higher than that of $S_n$ for similar set sizes. I tried also direct product of dihedral groups and achieved even higher $P_G$ than with the matrices.

I have been putting some code and results here, in the case someone is interested in further investigation; see sections Abstract algebra module, Commutativity degree of groups and Tendency of commutativity on Mn.

I am looking for a group that is algorithmically feasible to be implemented, like $S_n$, $D_n$, $Z_n$ etc. which are straight forward to code and fast to calculate.

UPDATE:

It seems that groups of order $2^n$ are fated to be almost Abelian because prime power order implies nilpotent.

UPDATE 2:

My best attempt was a direct product of $D_{34}$ and $Z_{2^{128}-159}$ (I doubled the order to avoid half bits when importing 128 bits from legacy systems, among other benefits [and disadvantages]). Unfortunately, another attempt was to use the matrices mentioned above in the place of S_{34}, but, in a small test with 45 bits the matrices already commuted with p = ~5e-06 after 40 million pairs. The direct product of dihedral groups give formula values worse than the matrices.

The usefulness of all this is to combine identifiers that can be nicely operated within certain guarantees/properties.

PS. Thanks to the help of a couple mathematicians, almost a year by now, I am almost not feeling in completely strange waters. I even learned what is a happy family - pun intended. [and monster group]

dawid
  • 347
  • The title is essentially asking one thing, but your question seems to be about something else. Your title asks for the smallest value of $|Z(G)|/|G|$ (which is achieved with the $p$-groups of maximal class, among others). But your question seems to be about small values for the commuting probability. While a large center certainly gives a lower bound for $P(G)$, the two calculations are not equivalent., – Arturo Magidin Mar 28 '21 at 18:09
  • I also think it is a misnomer to say that nilpotent groups are “almost abelian”. You might want to look at the degree of commutativity of $p$-groups. – Arturo Magidin Mar 28 '21 at 18:11
  • 1
    I agree, you should state an explicit question, that doesn't contradict the title. – verret Mar 28 '21 at 18:19
  • @ArturoMagidin Thanks for the tip. Some guy suggested to look for center size "as it was equivalent to P", and I hoped those specific keywords would help find an answer, but I was not entirely sure about it. – dawid Mar 29 '21 at 02:44
  • 1
    Well, for example, the extra special group of order $32$ has center of order $2$, so same order and center size as the dihedral group $D_{16}$. But I’m pretty sure that the commuting probabilities of those two groups are going to be different. – Arturo Magidin Mar 29 '21 at 03:09

2 Answers2

3

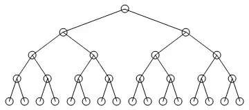
There exists arbitrarily large $2$-groups $G$ such that the center $Z(G)$ is cyclic of order two. A nice recursive construction of such is the wreath product tower $C_2$, $C_2\wr C_2$, $(C_2\wr C_2)\wr C_2$, $\ldots$. IIRC your background is more on the computer science side, so it may be easier for you to get a handle of these as groups of graph automorphisms $G_n$ of the full binary tree $BT(n)$ of $n$ levels (so $2^n$ leaves). Like $n=4$: enter image description here

It is easy to convince yourself of the fact that an automorphism of this graph must permute the $16$ leaves (the leaves are the only nodes of valence $1$). Also, an automorphism is fully determined if we know how it acts on the leaves. Furthermore, an automorphism must either intechange the two halves (two copies of a $3$-level binary tree), or be an automorphism of both half-trees. Consequently $$ G_n=(G_{n-1}\times G_{n-1})\rtimes C_2 $$ with the extra factor $C_2$ being the cyclic group generated by "the halves changing automorphism" that we can specify to be the reflection w.r.t. the vertical axis of symmetry. This is what the above wreath product tower means.

Anyway, we see that

  1. The orders of the groups $G_n$ satisfy the formula $$|G_n|=2|G_{n-1}|^2.$$ Clearly $|G_1|=2$ (a cyclic group), so $|G_2|=8$ (the dihedral group $D_4$), $|G_3|=128$, $|G_4|=2^{15}$ et cetera.
  2. For an element $g$ of $G_n$ to be in the center, it has to commute with the halves changing reflection as well as any tiny perturbation of one of the halves. The latter forces $g$ to be in the subgroup $G_{n-1}\times G_{n-1}$ that map the two half-trees to themselves. For its part, the former then forces $g$ to have the mirror image effect on both halves, so $g=(g',g')$. Then the latter requirement again forces $g'$ to be in the center of $G_{n-1}$. A simple piece of recursive thinking then forces $g$ to be the automorphism that swaps all the pairs of leaves sharing the same parent. The conclusion is that $Z(G_n)\simeq C_2$.
  3. I asked about the non-abelianity of these groups from a different direction in this question, where I queried about the size of the group $G_n/[G_n,G_n]$. Knowledgable commenters told me that my hunch is correct and $|G_n/[G_n,G_n]|=2^n$. This tells us that the largest abelian homomorphic image of $G_n$ has $2^n$ elements.
Jyrki Lahtonen
  • 140,891
  • If all we want is small center, why not got with the dihedral groups, which were already mentioned in the OP? – verret Mar 28 '21 at 17:49
  • A good question @verret. Somehow that escaped me :-) With the dihedral group "the other end" is also small. Don't know if that plays a role. It's still not clear to me what kind of a group the OP really wants. – Jyrki Lahtonen Mar 28 '21 at 17:52
  • I got the impression that they have some crypto application mind. There a large abelian subgroup could be detrimental, or not? – Jyrki Lahtonen Mar 28 '21 at 18:44
  • @JyrkiLahtonen Sorry about the confusion with "size of the center"... too much content in a row (and some prank at quora). I realized that's ok if the group isn't fit for "obsfucation". My focus now is low commuting probability (say $p<<10^{-25}$) and highest possible order for each element. So a product of the groups from opposite benefits seems a solution. I updated the answer to include my best attempt. The abelianess is bad because the order of the operands is important in the general case (in my appl.). I already included a + operation for the commutative case. – dawid Mar 29 '21 at 03:40
  • @JyrkiLahtonen My current approach uses a wreath product that 'maximize' element orders, but I couldn't map it to the natural numbers directly, i.e. in a computationally efficient way. I don't know if such kind of real world question would be a good fit here at mathexchange. – dawid May 21 '21 at 07:28
-1

It seems that groups of order 2^n are fated to be almost Abelian because prime power order implies nilpotent.

A nilpotent group is a group that is "almost abelian"

dawid
  • 347
  • What I don't understand is how can D8D8D8*D8 be considered "almost Abelian". – dawid Mar 28 '21 at 14:38
  • 2
    Three is no standard definition of "almost abelian". Sometimes nilpotency can serve that purpose, sometimes the commuting probabilty, sometimes the size of the center, or the size of a largest (abelian) normal subgroup, etc... – verret Mar 28 '21 at 17:52